• Всего документов: 5844
  • Число пользователей: 15251

Ikkinchi tur sirt integrali

ko‘rinishga keladi. Demak, 
     Endi formuladan foydalanamiz, birinchi tur sirt integralini hisoblaymiz:
bunda  . Bu tenglikning o‘ng tomonidagi
birinchi turgan ikki karrali integralni hisoblash uchun
  almashtirish bajaramiz. Natijada 
(chunki      bo‘ladi).
Endi yuqoridagi munosabatdagi     integralni 
hisoblaymiz.
16    Ikkinchi tur sirt integrallari  ikki karrali integrallarning xossalari kabi xossalarga 
ega.Quydagi ikkinchi tur sirt integrali, funksiyaning shu sirtning ikkinchi tomoni 
bo‘yicha olingan ikkinchi tur sirt integralidan  faqat ishorasi bilan farq qiladi.
1.  Funksiyaning (S) sirtning bir tomoni bo‘yicha olingan ikkinchi tur sirt integrali,
funksiyaning shu sirtning ikkinchi tomoni bo‘yicha olingan ikkinchi tur sirt 
integralidan faqat ishorasi bilan farq qiladi.
2.   F(x,y,z) funksiyaning yasovchilari Oz o‘qiga parallel bo‘lgan silindirik (S) sirt 
bo‘yicha ikkinchi sirt integrali. 
  
                                               
uchun 
                                    
bo‘ladi. 
F(x,y,z)  funksiyani yasovchilari Ox o‘qiga parallel bo‘lgan silindirning (S) sirt 
bo‘yicha ikkinchi tur sirt integrali 
                                       
                                          
uchun         
                                        
bo‘ladi. 
 F(x,y,z)  funksiyani yasovchilari Oy o‘qiga parallel bo‘lgan silindirning (S)   sirt
bo‘yicha ikkinchi tur sirt integrali 
                                                          
10 O‘ZBEKISTON RESPUBLIKASI 
OLIY  TA’LIM, FAN  VA INNOVATSIYALAR
VAZIRLIGI
__UNIVERSITETI
Ro’yxatga olindi №__________                          Ro’yxatga olindi №__________
“_____” ____________20   y.                             “_____” ____________20   y.
“___________________________ “ KAFEDRASI
“_____________________________ “ FANIDAN
KURS ISHI 
Mavzu:________________ 
Bajardi:_________________________________
Tekshirdi:_______________________________
______________ - 20___
Ikkinchi tur sirt integrali    
    1.4.1-formula      yig‘indining limit  
  Agar  da f(x,y,z) funksiyaning integral yig‘indisi  chekli limitga 
ega bo‘lsa, f(x,y,z)  funksiya (S) sirtning tanlangan tomoni bo‘yicha 
integrallanuvchi funksiya deyiladi. Bu yig‘indining chekli limit I esa   ( ) ,
f(x, y,z) funksiyaning (S) sirtning tanlangan tomoni bo‘yicha  ikkinchi tur 
integrali deyiladi
   1
  
  2
  
  3
   
 4
   
                        1.4.2-formula  Ikkinchi tur sirt   integrali
8
Umumiy holda (S) sirtda P(x,y,z), Q(x,y,z)va R(x,y,z) funksiya berilgan bo‘lib,
  ,       ,   14.Turgunbayev R.M., Koshnazarov R.A., Raximov I.K.Matematik analiz. 
Mustaqil talim uchun metodlar ko‘rsatmalar. I semestr TDPU. 2013y.
15. Turgunbayev R.M., Koshnazarov R.A., Raximov I.K.Matematik analiz. 
Mustaqil talim uchun metodlar ko‘rsatmalar. III semestr TDPU. 2013y.
16.Arxipov G.I., Sadovnichiy V.A., CHubarikov D.I.,Lektsii pomatematika analiz.
‘‘Visshaya shkola’’1999y.
17.Turgunboyev R.M. Matematik analiz I tom. ‘‘Abu matbuot –konsalt’’2014y,
30
Axborot manbalari
1.www.tdpu.uz
2.www.pedagog.uz
3.www.edu.uz
4.www.nadlib.uz(A.Navoiy nomidagi O‘z.MK)
5.www.ziyonet.uz uchun                      
                                         
bo‘ladi. 
Integralni hisoblash. Ikkinchi tur sirt integrallari  ikki karrali integrallarga keltirib 
hisoblanadi. 
   
2.1.1-formula.  Ikkinchi tur sirt integralni ikki karrali integralga keltirish
Birinchi va ikkinchi tur sirt integrallari orasidagi bog‘lanish. (S) sirt va bu  sirtda 
berilgan P(x,y,z), Q(x,y,z) va R(x,y,z) funksiyalar. 
      
  2.1.2-formula.  Birinchi va ikkinchi tur sirt integrallar orasidagi bog‘lanish      
11 23
bo ‘ ladi . Endi     fazoda  ( S )  sirt   x = x ( x , z )   funksiya   chegaralangan   ( D )  soxada  
uzluksiz   va  ( D )  da   uzluksiz
  xususiy hosilalarga ega bo‘lsin  .
 Agar f(x,y,z) funksiya (S) sirtda berilgan va uzluksiz bo‘lsa , u holda bu 
funksiyaning (S) sirt bo‘yicha birinchi tur sirt integrali 
mavjud va bo‘ladi.
Integralning xossalari . Birinchi tur sirt integrallari ikki karrali integral xossalariga 
ega . Biz ularni ayrimlariga keltiramiz. 
1.Agar f(x,y,z) funksiya (S)  sirt bo‘yicha integrallanuvchi bo‘lib,   
bo‘lsa u holda  
bo‘ladi
2.Agar f(x,y,z) funksiya (S)  sirt bo‘yicha integrallanuvchi bo‘lib,u holda cf(x,y,z) 
ham ( c-const) shu sirt bo‘yicha integrallanuvchi bo‘ladi va 
tenglama o‘rinli bo‘ladi (c-const)
3. Agar f(x,y,z)  va g(x,y,z) har biri  (S)  sirt bo‘yicha integrallanuvchi bo‘lib,u 
holda f(x,y,z)+g(x,y,z) ham sirt bo‘yicha integrallanuvchi bo‘ladi. 31 29
Foydalanilgan adabiyotlar
1.Aylarov T., A. Mansurov X., matematik analiz 2-qisim T.O‘qtuvchi, 1999y.
2.A . ,Sadullaev, X., Mansurov, G., Xudoyberganov, A., vorisov , R., G‘ulomov. 
Matematika analiz kursidan misol va masalalar to‘plami. 1 –T . 
O‘zbekiston,1993y.
3.Demidovich B. P. Sobirov zadach I uprajneniy po matematika analiz –M, Nauka,
1977va boshqa yillardagi ishlari. 
4.Toshmetov  O‘, Turgunboyev R, Saydamatov E, Madrimov M, Matematik analiz
1-qisim, ‘‘Extremum-Press’’,2015y.
5.Xudayberganov G, Voris A, Mansurov X, Shoimqulov B. Matematik analiz 
ma’ruzalar. ‘‘Voris –nashriyoti’’2010y.
6.Turgunboyev R.M. Matematik analiz 1-qism  ‘‘Innovatsiya-ziyo’’2019y.
7.Turgunboyev R., Qodirov K.,Bakirov T.,Matematik analiz(Qatorlar nazariyasi) 
‘‘Innovatsiya-ziyo’’2019y.
8. Turgunboyev R., Qodirov K.,Bakirov T.,Matematik analiz(Ko‘p o‘zgaruvchi 
funksiya integrali va diferensali) ‘‘Innovatsiya-ziyo’’2019y.
9.Azlarov. T., Mansurov.X., Matematik analiz.   ‘‘O‘zbekiston ’’.  1t 1994y.
10. Azlarov. T., Mansurov.X., Matematik analiz.   ‘‘O‘zbekiston ’’.  2t 1994y.
11.Gaziyev A., Israilov I., Yaxshiboyev M., ‘‘Matematik analiz misollar to‘plami’’
‘‘Yangi asar avlodi’’2006y.
12.Toshmatov  O‘,Turgunboyev R, Matematik analiz misol va masalalar 
to‘plami.1-q TDPU.2006y.
13. Toshmatov  O‘,Turgunboyev R, Matematik analiz misol va masalalar 
to‘plami.2-q TDPU.2006y. 20
2.3. Birinchi va ikkinchi tur sirt integrallari orasidagi bog‘lanish
Fazoda ushbu z=(x,y) tenglama bilan aniqlangan (S) sirt berilgan bo‘lsin. Bunda 
Z(x,y) funksiya (D) sohada    berilgan bo‘lsin , u shu sohada uzluksiz
xossalarga ega.
Ma’lumki, bunday sirt yuzaga ega bo‘lib, u quyidagi 
                   
2.3.1-formula.  Sirt yuzasi
formula orqali aniqlanadi. 
   Integral ta’rifi. Yuqorida aytilgani kabi (S) sirt berilgan bo‘lsin. Bu sirtning 
bo‘linishi, bo‘laklari  va diametri tushunchalari avval qaralgan (a,b) segmentni 
bo‘linishi,  kabi kiritiladigan va o‘xshash xossaga ega bo‘ladi.
Aytaylik f(x,y,z) funksiya (S) sirtda   berilgan bo‘lsin . Bu sirtning P 
bo‘linishining va bu  bo‘linishning har bir  bo‘lganida (k=1,2,…..,n) ixtiyori
 nuqtani olaylik. Berilgan funksiyaning  nuqtadagi qiymati 
shunday f ni    sirtning    yuzaga ko‘paytirib , quyidagi 
yig‘indini tuzamiz:       
odatda    integral yig‘indi deb ataladi. 
    (S) sirtning shunday 
bo‘linishlarini qaraymizki, ularning mos diametrlaridan tashkil topgan  tadqiqotlarni rivojlantirish chora tadbirlar to‘g‘risidagi’’qarorining 1-ilovasidagi 
3.1-bo‘limining 14-“Matematika bakalavriat ta’lim yo‘nalishlari bitiruvchilarning 
muayyan aniq sohalarda amaliy masalalarni yechish ko‘nikmalarni rivojlantirish 
uchun ta’lim dasturlarini fanlar integrativ prinsip asosida ixtisoslashtirilgan 
tartibda ishlab chiqilgan va joriy etilga. So‘nggi yillarda mamlakatimizda oliy 
ta’lim sifatini oshirishga qaratilgan bir qancha chora –tadbirlar amalga 
oshirilmoqda. Chunki, jahon talablari darajasidagi raqobatbardosh kadrlar 
tayyorlash maqsadida talabalarga dunyo standartlariga javob beradigan bilim va 
ko‘nikmalar berish bugungi kunning eng dolzarb masalalaridan biri bo‘lib 
qolmoqda.Mamlakatimizda ‘‘Matematika analiz’’ fanini o‘qitish bo‘yicha uzoq 
yillardan beri to‘plangan boy tajriba hamda rivojlangan horijiy davlatlarning 
yetakchi Oliy ta’lim muassasalarining tajribalaridan foydalangan holda, 
shuningdek, ularning o‘quv dasturlaridagi asosiy adabiyotlardan foydalangan holda
ko‘p o‘quv qo‘llanmalar yaratildi.Matematika analiz fani matematikaning 
fundamental bo‘limlaridan biri bo‘lib, u matematikani poydevori hisoblanadi. 
Matematika analiz kurs davomida ko‘pgina tushuncha va tasdiqlar, 
shuningdek,ularning tadbiqlari keltiriladi.Matematik analiz fanining asosiy vazifasi
shu fanning tushuncha, tasdiqlari va boshqa matematik ma’lumotlar majmuasi 
bilan tanishtirishgina bo‘lmasdan, balki talabalarda mantiqiy fikirlash, matematik 
amaliy masalalar yechishga qo‘llash ko‘nikmalaridan iborat. Matematika analiz 
fanining o‘qitishdan maqsad-talabalarni matematikaning zaruriy ma’lumotlar 
majmuasi,tushunchalar,tasdiqlar va ularning isboti, amaliy masalalarni yechish 
usullari va boshqalar, bilan tanishtirishdan iboratdir.Ayni paytda, u talabalarni 
mantiqiy fikrlash, to‘g‘ri xulosa chiqarishga,ularning matematik madaniyatini 
oshirishga hizmat qiladi.
Kurs ishining muammosi :Ta’lim tizimida ikkinchi tur sirt integralidan foydalanib
o‘quv mashg‘ulotlarni  olib  borishda masofaviy ta’limni qo‘llash kurs ishining 
muammosi hisoblanadi.
Kurs ishining maqsadi: Talabalar ikkinchi tur sirt integralidan foydalanib turli 
misol va masalalarni yechishni o‘rgatish.
Kurs ishining ob’yekti: Ta’lim berishda ikkinchi tur sirt integrallarini o‘rni.
Kurs ishining predmeti: Ta’lim soxasida ikkinchi tur sirt integralining 
samaradorligi va afzalliklari.
3
Kurs ishining vazifalari: Kurs ishini taqdim etishdan ko‘zlangan maqsadlar 
o‘quvchilarga va talabalarga ta’lim berishda ikkinchi tur sirt integralining 
qulayliklari imkoniyatlari hozirda bunday ta’lim soxasi dunyoning yuqori darajada  Fazoda (S) sirt z=z(x,y) tenglama bilan aniqlangan. Bunda z(x,y) funksiya (D) 
soxada (D)∩	R2  berilgan, uzluksiz hamda uzluksiz xususiy xosilalar
(x,y)	
; (x,y)  (D) soxaning chegarasi esa bo‘lakli-silliq chiziqdan iborat 
bo‘lsin. 
    (S) sirtda uning chegarasi bilan kesishmaydigan  k yopiq chiziqni olaylik.           
( )     nuqta sirtning k yopiq chiziq bilan chegaralangan qismiga tegishli va 
yopiq chiziq k ning xOy tekisligidagi proeksiyasi deyladi . ( )       
nuqtasidagi urunma tekislikka perpendikulyar o‘tkazaylik. Bu perpendikulning 
musbat yo‘nalishi olamizki, uning uchidan qaralganda ikkala k va 	
kn  yopiq 
chiziqlarning yo‘nalishlari  musbat bo‘ladi .Uning manfiy yo‘nalishi esa shunday 
yo‘nalishki , uning  uchidan qaraganda 	
kn ning  musbat  yo‘nalishiga k ning manfiy 
yo‘nalishi mos keladi .Perpendikulyarning musbat yo‘nalishi  bo‘yicha olingan 
birlik  kesma  sirtning  ( ) nuqtadagi normali deyiladi .X o‘qi Y o‘qi  va Z 
o‘qlarning musbat yo‘nalishlari bilan tashkil qilgan burchaklarni mos ravishda   α;
; γ  deyilsa unda quyidagi formuladan foydalanamiz. 
  1
     
  2
     
  3
     
 
                  1.1.1 –formula.  Normalning yo‘naltiruvchi kosinuslari   
5
1.2.Sirtning ustki tomoni
  Sirtning ustki tomoni deb uning  shunday tomoni olinadiki , bu tomondan 
qaralganda ikkala k va    yopiq chiziqlarining yo‘nalishlari musbat bo‘ladi.  ketma- ketlik 0 ga intilsa :        . Bunday    (m=1,2….)  
bo‘linishlariga nisbatan f(x,y,z) funksiyaning      
22
      ko‘rinishlar yig‘indisini tuzsak, ushbu  
quyidagi ketma- ketlik hosil bo‘ladi. 
Agar (S) sirtning  har qanday  bo‘linishlari ketma- ketligi olinganda 
ham unga mos   ketma- ketlik  nuqtalarni tanlab 
olinishiga bog‘liq bo‘lmagan holda, hamma vaqt bitta I soniga intilsa bu son 0 
yig‘indini limit deb ataladi. 
Agar   da f(x,y,z) funksiyaning yig‘indisi  chekli limitga ega bo‘lsa , 
f(x,y,z) funksiya (S) sirt bo‘yicha integrallanuvchi bo‘ladi. Bu yig‘indining chekli 
limit I esa f(x,y,z) funksiyaning birinchi tur sirt integrali bo‘ladi. 
                                                      
kabi belgilanadi.
Integral mavjudligi faraz qilaylik   fazoda (S) sirt x=x(x,z)  tenglama bilan 
berilgan bo‘lib, z(x,y) funksiya chegaralangan (D) soxada uzluksiz va (D) da 
uzluksiz  xususiy hosilalarga ega bo‘lsin 
Agar f(x,y,z) funksiya (S) sirtda berilgan va uzluksiz bo‘lsa , u holda bu 
funksiyaning (S) sirt bo‘yicha birinchi tur sirt integrali 
mavjud va 
                               Ravshanki, (S) sirtning tenglamasi 
ko‘rinishga ega. Bu funksiyaning hususiy hosilalar
              
bo‘lib, 
                  
bo‘ladi.
Berilgan ikkinchi tur sirt integralini  formuladan foydalanib birinchi tur sirt 
integraliga keltiramiz.
Agar          
Bo‘lishini  e’tiborga olsak, u holda yuqoridagi tenglikning o‘ng tomonidagi 
birinchi tur sirt integrali 
15 Shunday qilib, berilgan ikkinchi tur sirt integralini  ga teng ekanligini 
topamiz:
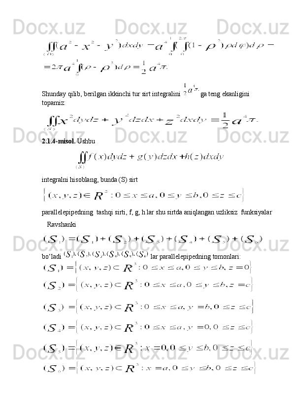
2.1.4-misol.  Ushbu   
                   
integralni hisoblang, bunda (S) sirt  
parallelepipedning  tashqi sirti, f, g, h lar shu sirtda aniqlangan uzliksiz  funksiyalar
   Ravshanki
bo‘ladi   lar parallelepipedning tomonlari:
         
   17
Integral xossasiga ko‘ra   
bo‘ladi. 
  Bu tenglikning o‘ng tomonidagi sirt integralni hisoblashda,   
sirtlar  bo‘yicha integral manfiy ishora bilan ,    sirtlar   bo‘yicha 
integrallar esa musbat ishora bilan  olinishini e’tiborga olamiz. Shuningdek, 
integralning xossalardan foydalanamiz. Natijada
bo‘ladi. Xuddi shunga o‘xshash     Endi
 
ikki karrali integralni foydalanamiz.Bu integralda o‘zgaruvchilari 
                            
kabi almashtirish topamiz:
   Demak ,
2.1.3-misol.  Ushbu 
integralni  hisoblang , bunda (S) sirt
yarim sferaning tashqi qismi.
14 bu bo‘lishining har biri ( )  bo‘lagida (k=1,2,  …., n,) ixtiyori ( , , ) nuqta 
olaylik. Berilgan funksiyaning  ( , , ) nuqtadagi   ( , , ) qiymatini 
(Oxy, Oyz, Ozx) tekislikdagi proeksiyasi ( )    (( ), ( ),( ))
ning yuziga ko‘paytirilib, quyidagi integral yig‘indini tuzamiz :
1
  
 2
   
  
                1.3.1- formula  Yuzalarning integral yeg‘indisi 
(S)   sirtning shunday   ……  …   bo‘linishlarini qaraymiz , ularning  mos 
diametrlaridan  tashkil topgan 
                                        ……..   ….. 
ketma-ketlik nolga intilsin:    . 
Bunday  (m=1,2…..) bo‘linishlarga nisbatan f(x,y,z) funksiyaning integral 
yig‘indilarini tuzamiz. Natijada 
                                        …      ….   ….
ketma-ketlik xosil bo‘ladi . Agar (S) sirtning xar qanday   ……  …  
bo‘linishlariga  ketma-ketligi (  ) olinganda ham, unga mos ( )  ketma-ketlik,
( , , ) nuqtalarni tanlab olinishiga bog‘liq bo‘lmagan holda hamma vaqt 
bitta I soniga intilsa , bu I son ( )   yig‘indining limiti deb ataladi.
7
      1.4.  yig‘indining limit
  Demak,
2.1.2-misol . Ushbu 
                      
integralni  hisoblang, bunda (S) sirt  
ellipsoidning  z=0 tekislikdagi pastda joylashgan qismi bo‘lib, integral shu sirtning 
pastki tomoni bo‘yicha olingan .
  Ravshanki , (S) sirtning tenglamasi  
                  
va uning Oxy tekislikdagi proeksiyasi 
               
bo‘ladi. (S) sirt bu sirtda berilgan  funksiya ham
yuqoridagi shartlarni qanoatlantiradi.U holda  quydagi formuladan foydalanamiz, 
bo‘lishini topamiz . Integral (S) sirtning pastki tomoni bo‘yicha  olinganligi sababli 
sirt integrali minus ishora bilan olinadi.
13 MUNDARIJA
KIRISH ...…………………………………………………………………...……...3
I BOB.Ikkinchi tur sirt integralni xossalari.
1.1. Ikkinchi tur sirt integrali haqida umumiy ma’lumot………………………......5
1.2. Sirtning ustki tomoni…………………………………………………………..6
1.3. Integral ta’rifi...………………………………………………………………...7
1.4.   yig‘indining limit………………………………………………………....8
II BOB. Ikkinchi tur sirt integralni hisoblash
2.1. Ikki karrali integrallarning xossalari…………………………………………10
2.2.   Misol va masalalar……………………………………………………………19
2.3. Birinchi va ikkinchi tur sirt integrallari orasida bog‘lanish………………......22
III. XULOSA……………………………………………………………………...29
IV. FOYDALANILGAN ADABIYOTLAR……………………………………...30
V. AXBOROT MANBALARI…..………………………………………………..31
KIRISH
Mavzuning dolzabligi: O‘zbekiston Respublikasi Prezidentining 07.05.2020 
yilidagi PQ-4708-sonli ‘‘Matematika sohasidagi ta’lim sifatini oshirish va ilmiy- 19
2.2. 2 -misol.  Ushbu
                    
integralni hisoblang, bunda (S) sirt  sferaning z=0 tekislikdagi 
pastda  joylashgan qismining ustki tomoni .
2.2. 3 -misol. Ushbu 
                   
integralni hisoblang, bunda (S) sirt   sferaning tashqi 
tomoni.
2.2. 4 -misol . Ushbu 
                   
integrallarni hisoblang, bunda (S) sirt 
                                      
ellipsoidning tashqi tomoni. 2.1.1-misol . Ushbu   integralni 
hisoblang.
Bunda (S) sirt         sirtning     y=2p  z=0  z=q  tekisliklari orasidagi 
qismining ichki tomoni.
2.1.1-rasim.  Tekislik orasidagi qisimning tomoni  
(S) sirtning Oxz tekisligidagi proeksiyasi   bo‘ladi.
(S) sirtning ixtiyori nuqtasiga o‘tkazilgan normal Oy o‘qi bilan o‘tkir burchak 
tashkil qilganligi sababli sirt integrali  musbat ishora bilan olinadi.
Yuqoridagi formuladan foydalanib topamiz:
Endi ikki karrali limitni hisoblaymiz :
  
12 bo‘ladi. Ikkinchi tur sirt integrallari  ikki karrali integrallarning xossalari kabi 
xossalarga ega.
26
 Quydagi ikkinchi tur sirt integrali, funksiyaning shu sirtning ikkinchi tomoni 
bo‘yicha olingan ikkinchi tur sirt integralidan  faqat ishorasi bilan farq qiladi.
1.  Funksiyaning (S) sirtning bir tomoni bo‘yicha olingan ikkinchi tur sirt integrali,
funksiyaning shu sirtning ikkinchi tomoni bo‘yicha olingan ikkinchi tur sirt 
integralidan faqat ishorasi bilan farq qiladi.
2.    F(x,y,z) funksiyaning yasovchilari Oz o‘qiga parallel bo‘lgan silindirik (S) sirt
bo‘yicha ikkinchi sirt integrali.
uchun
bo‘ladi.
  F(x,y,z)  funksiyani yasovchilari Ox o‘qiga parallel bo‘lgan silindirning (S) sirt 
bo‘yicha ikkinchi tur sirt integrali 
uchun
bo‘ladi.
 F(x,y,z)  funksiyani yasovchilari Oy o‘qiga parallel bo‘lgan silindirning (S)   sirt
bo‘yicha ikkinchi tur sirt integrali  rivojlangan mamlakatlardan kirib kelib bizni ham shu soxada yuqori  
ko‘rsatgichlarga olib chiqishi to‘g‘risida aniq va misollarga asoslangan 
ma’lumotlarni taqdim qilish va bu ta’lim soxasini rivojlantirish uchun paydo 
bo‘ladigan   yangi takliflarni amalda sinash orqali ularga taqdim qilish.Shularni 
inobatga olib ushbu kurs ishi asosan oliy ta’lim muassasalarining matematika 
darslari dasturiga kiritilgan sirt intrgrallar va ularning tadbiqlari mavzusida bir 
nechta misollardagi tadbiqlarini ko‘rib o‘tamiz.
Kurs ishining asosiy g‘oyasi: Ta’lim berishda ikkinchi tur sirt integralining misol 
va masalalarini o‘rganib chiqish. 
Kurs ishinining tuzulishi:  Kurs ishi kirish, asosiy qisim, 3 ta paragraf, xulosa, 
foydalanilgan adabiyotlar ro‘yxati va ilovadan iborat bo‘lib 31 betni tashkil etadi.
                                                           
4
I BOB.Ikkinchi tur sirt integralni xossalari
1.1. IKKINCHI TUR SIRT INTEGRALLI haqida umumiy ma’lumot    bo‘lishini topamiz. 
18
Demak .
 
                                             2.2. Misol va masalalar
 
2.2.1-misol.  Ushbu
Yechish;
      uchun
bo‘ladi.
27
Birilgan ikkinchi tur sirt integrallari orasidagi bog‘lanish. (S) sirt va bu  sirtda 
berilgan P(x,y,z), Q(x,y,z) va R(x,y,z) funksiyalar. 
   
      
  2.3.3-formula.  Birinchi va ikkinchi tur sirt integrallar orasidagi bog‘lanish 28
                                                              Xulosa
   Xulosa qilishim shuni aytish mumkinki – ta’lim berishda ikkinchi tur sirt 
integrallarini hisoblash misollar yordamida o‘rganish orqali matematika fanini 
boshqa fanlardan tutgan o‘rnini  ko‘rsatish mumkin. Masalan ushbu kurs ishimda 
ko‘rib chiqilgan birinchi tur sirt integrallari yordamida jisimlar massasini 
hisoblashga oid misollar nafaqat matematika fanida, balki fizika, kimyo va shu 
bilan birga texnikaning bir qator muammolarini hal qilishda ham uchrab turadi. 
Shulardan kelib chiqqan holda ushbu mavzu to‘la yoritib berish orqali oliy ta’lim 
muassasalari talabalarning fanga bo‘lgan qiziqishi , mantiqiy fikirlash va 
muammoni kreativ yondashuv yo‘li bilan hal qilish ko‘nikmasini shakillantiradi. 
Matematika analiz fani matematikaning fundamental bo‘limlaridan biri bo‘lib, u 
matematikani poydevori hisoblanadi. Matematika analiz kurs davomida ko‘pgina 
tushuncha va tasdiqlar, shuningdek, ularning tadbiqlari keltiriladi.Matematik analiz
fanining asosiy vazifasi shu fanning tushuncha, tasdiqlari va boshqa matematik 
ma’lumotlar majmuasi bilan tanishtirishgina bo‘lmasdan, balki talabalarda 
mantiqiy fikrlash, matematik amaliy masalalar yechishga qo‘llash ko‘nikmalaridan
iborat. Matematika analiz fanining o‘qitishdan maqsad talabalarni matematikaning 
zaruriy ma’lumotlar majmuasi,tushunchalar,tasdiqlar va ularning isboti, amaliy 
masalalarni yechish usullari va boshqalar, bilan tanishtirishdan iboratdir.Ayni 
paytda, u talabalarni mantiqiy fikrlash, to‘g‘ri xulosa chiqarishga,ularning 
matematik madaniyatini oshirishga hizmat qiladi. integrallar bor bo‘lsa ,u holda 
   
        1.4.3-formula. Ikkinchi tur sirt integralning umumiy ko‘rinishi.
Bu yig‘indi ikkinchi tur sirt integralning umumiy ko‘rinishi deyiladi va u 
quyidagicha belgilanadi. 
kabi belgilanadi:
=
    Fazoda biror (V) jism berilgan bo‘lsin. Bu jismni o‘rab turgan yopiq sirt 
bo‘lib,uni (S) deyiladi. f(x,y,z) funksiya (V) da berilgan Oxy tekislikka parallel 
bo‘lgan tekislik bilan(V) ni ikki qisimga ajratamiz: (V)=(  .  Natijada uni 
o‘rab turgan (S) sirt ham ikki ( ) va ( )  sirtlarga ajraladi. Ushbu 
  
  
1.4.4- formula. Yopiq sirt bo‘yicha ikkinchi tur sirt integrali   
9
II.BOB.Ikkinchi tur sirt integralini hisoblash
2.1.Ikki karrali integrallarning xossalari  Sirtning  ustki tomoni qaralganda   bilan chegaralangan tekis shakilning yuzi 
musbat ishora bilan, pastki tomoni (ikkinchi tomoni) qaralganda manfiy ishora 
olinadi. Sirt va uning tenglamasi berilgan to‘g‘ri burchakli dekart koordinatalari 
F(x;y;z)=0 tenglamani qanoatlantiruvchi nuqtalarning geometrik o‘rni sirt deb 
ataladi. F(x; y; z)=0 tenglama umuman sirt tenglamasi deb ataladi. Bu tenglama x, 
y, z  o‘zgaruvchilarning bir birga nisbatan yechiladi deb faraz qilamiz. Masalan ,u 
tenglama  z ga nisbatan yechilishi mumkin bo‘lsin, bu holda z=f(x,y) deb yozish 
mumkin, bunda  f(x,y)-x,y o‘zgaruvchining funksiyasidir.
   Sirtga berilgan yuqoridagi ta’rifga ko‘ra sirt tenglamasi deb uch o‘zgaruvchili 
shunday f(x,y,z)=0 yoki z=f(x,y) tenglamaga aytiladiki, bu tenglamani sirtda 
yotgan har bir nuqtaning koordinatalari qanoatlantiraladi. Shunday qilib fazodagi 
nuqtalarning geometrik o‘rni deb qaralgan har qanday sirt, bu nuqtalar 
koordinatalarini o‘zaro bog‘lovchi F(x,y,z)=0 tenglama bilan tasvirlanadi.  
  Aksincha x;y;z; o‘zgaruvchilarning bog‘lovchi har qanday F(x;y;z)=0 tenglama 
koordinatalari, bu tenglamani qanoatlantiradigan fazodagi nuqtalarning geometrik 
o‘rnini, ya’ni sirtni aniqlaydi. 
   Fazodagi sirtni tekshirish ikkita asosiy masalani tekshirishga olib keladi. 
1.Fazodagi biror sirt o‘zining umumiy xossasi bilan nuqtalarning geometrik o‘rni, 
deb berilgan.Uning tenglamasini tuzish kerak.                                                           
2.Fazodagi biror sirtning tenglamasi berilgan. Bu tenglama yordamida uning 
xossalarini va shaklini tekshirish kerak. 
   To‘g‘ri burchak dekart koordinatalari sistemasida o‘zgaruvchi x;y;z 
koordinatalariga nisbatan ikkinchi darajali.
A + B +C +Dxy+Exz+Fyz+Gx+Hy+Kz+L=0  algebraik tenglama bilan 
tasvirlangan sirtlar  ikkinchi tartibli sirtlar  deb atladi. Bu tenglamada 
A,B,C,D,E,F koeffitsientlarning kamida bittasi noldan farqli bo‘lishi  kerak. 
  Ikkinchi tur sirt integralidan ta’riflanadi. Shunday  qilib , sirtda berilgan f(x,y,z) 
funksiyani uchga Oxy tekislikdagi proeksiyalar, Oyz tekislikdagi proeksiyalari 
hamda Ozx tekislikdagi proeksiyalar vositasida olingan ikkinchi tur sirt integrali 
tushunchalaridan kiritilgan.
6
1.3. Integral tarifi
 Integral tarifi:  f(x,y,z) funksiya (S) sirtda berilgan bo‘lsin. Bu sirtning ma’lum 
bir tomonini ( yoki ustki, yoki ostki tomonini ) qaraylik. Sirtning P bo‘linishini va  bo ‘ ladi .
24
4. Integralni   hisoblash  . Yuqoridagi   keltirilgan   teoremalar   funksiyaning   birinchi  
tur   sirt   integralining   mavjudligini   tasdiqlash   bilan   bir   qatorda   ularni   ikki   karrali  
integrallar   orqali   ifodalashni   ham   ko ‘ rsatadi .  Binobarin   sirt   integrallari   ikki   karrali  
integrallarga   keltirib   hisoblanadi .
Ushbu  
  
  
2.3.2- formula. Yopiq sirt bo‘yicha ikkinchi tur sirt integrali   
Integral f(x,y,z) funksiyaning yopiq sirt bo‘yicha ikkinchi tur sirt integrali deyiladi
kabi belgilanadi . Bunda birinchi integral (  ) sirtning ustki tomoni, ikkinchi 
integral esa (  ) sirtning pastki tomoni bo‘yicha olinadi . 
huddi shunga o‘xshash 
hamda umumiy holda,
integral ta’riflanadi .
Eslatma .Ikkinchi tur sirt integrallarida sirtning qaysi tomoni ; tashqi tomoni yoki 
ichki tomoni integrallanayotgan takidlab beriladi. Integralning mavjudligi.Fazoda (S) sirt z=z(x,y) tenglama bilan berilgan. Bunda 
z=z(x,y) funksiya chegaralangan (D) sohada   xususiy 
hosilalarga ega.
25
Integral mavjudligi. Fazoda (S) sirt z=z(x,y)  tenglama bilan berilgan . Bunda 
z=z(x,y) funksiya chegaralangan (D) soxada    uzoqlashuvchi
   xususiy hosilaga ega. 
Agar f(x,y,z) funksiya (S) sirtda berilgan va uzoqlashuvchi bo‘lsa, u holda bu 
funksiyaning (S) sirt bo‘yicha olingan ikkinchi tur sirt integrali 
Fazoda    sirt x=x(y,z)  tenglama bilan berilgan . Bunda x=x(y,z) funksiya 
chegaralangan   soxada uzluksiz va (D) da uzluksiz 
xususiy hosilaga ega.
Agar funksiya  sirtda berilgan va uzluksiz bo‘lsa, u holda bu funksiyaning 
sirtda bo‘yicha olingan ikkinchi tur sirt integrali 
bo‘ladi.
   Fazoda  sirt y=(z,x) tenglama bilan berilgan . Bunda y=y(z,x) funksiya 
chegaralangan  soxada  uzluksiz va (D) da uzluksiz
 xususiy hosilaga ega.
Agar funksiya  sirtda berilgan va uzluksiz bo‘lsa, u holda bu funksiyaning 
sirt bo‘yicha olingan ikkinchi tur sirt integrali

Ikkinchi tur sirt integrali