• Всего документов: 5844
  • Число пользователей: 15251

Informatika va axborot texnologiyalari fani o'qituvchilari uchun attestatsiyaga tayyorgarlik

20. PowerPoint dasturi uskunalar panelining qaysi tugmasi yordamida slayddagi ob'ektlarning fon rangini o'rnatish 
mumkin  
5-tugma yordamida
21. Word 2010 hujjati xossalarini qanday ko‘rish mumkin?
« Файл » menyusining « Сведения » buyrug‘i orqali
22. Matn   kursori abzasning oxirida joylashgan. Kursor ostida joylashgan abzasni ulash uchun qaysi klavishni bosish lozim?
DELETE
23. MS Excel. Ox o‘qida koordinatalari orqali A1(x), B1(y), C1(z) nuqtalar berilgan (y<z). Agar A1 nuqta [B1; C1] 
kesmaga    tegishli bo‘lsa “YES”, aks holda “NO” javob chiqaruvchi formulani ko‘rsating. A1 katakda A, B1 katakda B va 
C1 katakda C nuqta koordinatalari kiritilgan.
= ЕСЛИ ( И (B1 - A1 <= 0; A1 <= C1); "YES"; "NO")
24.   MS Excel. A va B ning ixtiyoriy natural qiymatida tomoni A va balandligi B bo‘lgan parallelogrammning yuzini to‘g‘ri
hisoblaydigan formulani ko‘rsating. A1 katakda A va B1 katakda B sonlar kiritilgan.
=ABS(A1*B1)
25.    Internet xizmati taqdim etuvchi tashkilot qanday nomlanadi?
Internet provayderi
26. MS Excel. A1:A6 va B2:B6 bloklardagi 5 xonali sonlardan eng kichigining chapdan 2-raqamini aniqlaydigan formulani
ko‘rsating.
ПСТР ( МИН (A1:A6; B2:B6); 2;1)
27. Dastur natijasini aniqlang:   x = 90 while (x < 100):         x+=3 print(x)
102
28. Power Pointning qaysi talqini taqdimotni videofayl ko‘rinishida saqlash imkoniyatiga ega?
PowerPoint 2010
29. Ali 8 lik sanoq sistemasidagi sonlarni 1 dan boshlab ketma-ket bo‘sh joy qoldirmay yoza boshladi. Ali yozgan raqamlar
soni 25 ta bo‘lsa, Ali yozgan oxirgi sonni aniqlang.
20
30. Ali 2 lik sanoq sistemasidagi sonlarni 0 dan boshlab ketma-ket bo‘sh joy qoldirmay yoza boshladi. Ali yozgan raqamlar
soni 46 ta bo‘lsa, Ali yozgan oxirgi sonni aniqlang.
1110
31. Vali 2 lik sanoq sistemasidagi sonlarni 7 dan boshlab ketma-ket bo‘sh joy qoldirmay yoza boshladi. Vali yozgan 
raqamlar soni 55 ta bo‘lsa, Vali yozgan oxirgi sonni aniqlang.
10011
32. Agar A=YOLG‘ON, B=ROST bo‘lsa, u holda quyidagi mantiqiy ifoda qiymatini aniqlang: (B AND NOT B) AND A.
YOLG‘ON
33. Dastur natijasini aniqlang:   x = 1 a = 4 b = 5 if a > 0: if b < 0: x = x + 5 elif a > 4: x = x +4 else:x=x+3 else:         x = x + 2 
print(x)
4
34. Dastur natijasini aniqlang:x=0 a=4 b=5 if a>0: if b<0: x=x+5 elif a>5:x=x+4 else:x=x+3 else:x=x+2 print(x)
3
35. Internetga qanday ulanish mumkin?
Mavjud bo‘lgan barcha aloqa liniyalari orqali
36. MS Word   2007/2010 da   sahifalarni   raqamlash buyrug‘i qaysi lentada joylashgan?
Вставка  lentasida
37. MS Wordda jadvalning ajratilgan ustuni klaviatura orqali qanday o‘chiriladi?
BACKSPACE klavishini bosish orqali
38. Quyidagi   kod natijasini ko‘rsating:   x = 45 // 4 % (3 + 2) ** 4 + 25//6 print(x)
15
39. MS Wordda jadvalning ajratilgan satri klaviatura orqali qanday o‘chiriladi?
BACKSPACE klavishini bosish orqali
40. Matndagi   grammatik xatoliiklar qanday chiziq bilan chiziladi?
Qizil to‘lqinli chiziq orqali
                                                                                Atestatsiya 2021  http://t.me/rrgsoft
24 B - qora ekranni ko'rsatish (slaydni bir muddat yashirish).
W - oq ekranni ko'rsatish (slaydni bir muddat yashirish).
Ctrl + P - qalamni tanlang.
Ctrl + E - o'chirgichni tanlang.
Ctrl + A - o'qni ko'rsatgich sifatida tanlaydi.
                                                                             ??????  Photoshop dasturining qaynoq tugmalari: #1-qism
ctrl + n = yangi fayl ochish
ctrl + o = faylni ochish
ctrl + w =  faylni yopish
ctrl + s = saqlash
ctrl + z = bekor qilish
ctrl + c = nusxalash
ctrl + x = kesish
ctrl + v = joylashtirish
ctrl + f = oldiga qo'ying
ctrl + b = orqaga joylashtirish
ctrl + a = barchasini tanlang
ctrl + d = yana o'zgartirish
ctrl +] = oldinga olib kelish
ctrl + [= orqaga yuborish
ctrl + g = guruh
ctrl + 2 = qulflash
ctrl + 3 = tanlovni yashirish
ctrl + j = qo'shilish
ctrl + 7 = qilmoq
ctrl + t = belgi
ctrl + m = xat
ctrl + e = oxirgi to'ldiruvchini qo'llang
ctrl + y = kontur
ctrl + h = chetini yashirish
ctrl + 0 = oynaga sig'adi
ctrl + 1 = haqiqiy hajm
ctrl + r = ko'rsatgichlarni ko'rsatish
ctrl + u = aqlli qo'llanmalar
ctrl + "= panjara ko'rsatish
ctrl + - = kattalashtirish
ctrl + + = kattalashtirish
ctrl + k = umumiy
                                                          ??????  Photoshop dasturining qaynoq tugmalari: #2-qism
ctrl + shift + s = saqlash
ctrl + shift + p = bosib chiqarish sozlamalari
ctrl + shift + z = takrorlash
ctrl + shift + a = bekor qilish
ctrl + shift + m = o'tish
ctrl + shift + g = guruhlash
ctrl + shift + t = tab o'lchagichlari
ctrl + shift + o = yaratish rejasi
ctrl + shift + e = applay oxirgi effekti
ctrl + shift + w =   shablonni yashirish
ctrl + shift + b = to'plam qutisini yashirish
ctrl + shift + "= tortish uchun biriktiring
ctrl + alt + s = nusxa olish
ctrl + alt + p = hujjatlarni sozlash
ctrl + alt + 2 = barchasini qulfdan chiqarish
ctrl + alt + 3 = barchasini ko'rsatish
ctrl + alt + j = o'rtacha
ctrl + alt + b = qilmoq
ctrl + alt + 7 = rela
ctrl + alt + 8 = ozod qilish
3                                                                                           Power Point
F1 - yordam.
CTRL + N - taqdimot yarating.
CTRL + M - joriy slayddan keyin slayd yaratadi.
CTRL + C - Slaydni nusxalash.
CTRL + V - Slaydni joylashtiring.
CTRL + X - Tanlangan matnni, ob'ektni yoki slaydni kesib oling.
CTRL + Z - oxirgi amalni bekor qilish.
CTRL + S - Taqdimotni saqlash.
ESC - Slayd-shouni tugatish.
CTRL + D - Ob'ektni nusxalash.
CTRL + G - Tanlangan moslamalarni guruhlash.
CTRL + SHIFT + G - Tanlangan moslamalarni guruhdan chiqarish.
CTRL + SHIFT + C - formatlashni nusxalash.
CTRL + SHIFT + V - Formatlashni qo'llang.
CTRL + K - ko'prikni qo'shish.
CTRL + Y - Oxirgi amalni takrorlang.
CTRL + W - hujjatni yoping.
CTRL + O - ochish.
CTRL + P - Chop etish.
TAB - Slaydda plasherlar o'rtasida chapdan o'ngga siljish.
CTRL + UP YO'Q - Slaydni yuqoriga ko'taring.
CTRL + DOWN ARROW - Slaydni pastga siljiting.
CTRL + SHIFT + YUQARI YO'Q - Avval slaydni o'rnating.
CTRL + SHIFT + YO'Q YO'Q - Slaydni oxiriga etkazing .
CTRL + F - qidirish.
CTRL + H - Topish va almashtirish.
F4 yoki CTRL + Y - Oxirgi amalni takrorlang.
F12 - Saqlash.
CTRL + F5 - Onlayn taqdimot.
2. Matnni formatlash
CTRL + B - qalin.
CTRL + I - kursiv.
CTRL + U - osti chizilgan.
F2 - shakl matnini tahrir qilishni boshlash / to'xtatish.
CTRL + [ - shriftni kamaytirish.
CTRL +] - shriftni oshirish.
CTRL + L - tanlangan xatboshini chap tomonga tekislang.
CTRL + R - Tanlangan paragrafni o'ng tomonga tekislang.
CTRL + BACKSPACE - so'zni o'chirish.
CTRL + A - Hammasini tanlang.
ALT + CTRL + Shift +> - Superscript.
ALT + CTRL + Shift + < - Subscript.
F7 - imloni tekshiring.
CTRL + E - paragrafni chekka bo'ylab markazlashtiring.
CTRL + J - paragrafni tasodifiy joylashtiring.
CTRL + L - xatboshini chap tomonga tekislang.
CTRL + R - paragrafni o'ng tomonga tekislang.
Shift + F3 - Tanlangan matnning holatini o'zgartiring.
3. Slayd-shou
F5 - taqdimot boshidan slayd-shouni namoyish etadi.
SHIFT + F5 - joriy slayddan slayd-shouni ko'rsatish.
4. Slayd-shou rejimida harakatlanish
N - keyingi slaydga o'ting.
P - oldingi slaydga o'ting.
2  Schoology- talim muassasalari uchun mo’ljallangan bulutli LMS.Shoology Google Drive,Mikrosoft OneDrive,Blackboard 
Collaborate,Moodle,PowerSchool,Evernote va YouTube bilan birlasha oladi.
iSpring Learn -talim muassasalari va kompaniyalarda kadrlar tayyorlash uchun ishlab chiqilgan.
Google Classroom - talim uchun bo’lib kurs\sinfni yaratish va o’quvchilarni qo’shish,kerakli o’quv materiallarni kiritish va
o’quvchilarga topshiriqlar berish, ularni ishlarini baholash va faoliyatini kuzatib boorish.Akkauntga ega 
hohlaganfoydalanuvchi kurs yaratishi mumkin.
Moodle - masofaviy talim olish muhiti hisoblanib,sifatli masofaviy kurslarni yaratish uchun mo’ljallangan.(15 turdagi 
interfaol vosita) o’quvchilar mustaqil va erkin ravishda istagan bilimini olish imkoniyatiga ega.
LearnDash -ommabop content boshqaruv tizimi(CMC)da sinflar yaratish,ularni boshqarish,o’zgartirish va nashr etish 
imkonini beruvchi plagin.Bu plagin WordPress platformasi tarkibida ishlaydi.
DEMO versiya -platformaning belgilangan vaqt davomida ishlashi mumkin bo’lgan nusxasi.
Ochiq kodli dasturiy taminot -dasturni kodi ochiqligi sababli tegishli o’zgartirishlar kiritish imkoniyati mavjud bo’lgan 
dasturiy taminot.
MOOC(Massive Open Online Courses)- Ommaviy ochiq onlayn kurslari.Ta’lim bozorini rivojlantirish hamda turli 
pedagogic va biznes vazifalarini hal etishga qaratilgan zamonaviy masofaviy talim tizim.
MOOCning afzalliklari -1.Bepul onlayn talim.2.Zamonaviy mutaxasisliklar.3.Dunyoning eng yaxshi o’qituvchilar.
4.Materiallarni tizimli taqdim etish.5.Onlayn talimni aralash shakli.6.Erkin dars jadvali.7.Interfaollik.8.Foydali 
aloqalar.9.Tezkor teskari aloqa va baholash.
MOOCning kamchiliklari- 1.O’quvchi materiallarni mustaqil va yakka holda o’rganish.2.Topshiriqni bajarish jarayonini 
to’liq nazorat qilib bo’lmaydi.
Aralash talim -o’qituvchi bilan yuzma-yuz olib boriladigan ananaviy talim va onlayn talimni birlashtirilgan shakli.
Subtitr -videorolikni asl tili yoki tarjimasidagi umumiy mazmunni ifodalovchi matn.U videokadr usti yoki tagida bir vaqtda
nomoyon bo’ladi.
MOOC platformalarida talim olish usullarining quyidagi turlari mavjud: 1.Kurslarda o’qish va sertifikat olish(bepul) 
2. Kurslarda o’qish(bepul) sertifikat olish pulli 3.Kurslarda o’qish va sertifikat olish (pullik)
                                                        Bugungi kunda MOOCning keng tarqalgan 2 turi mavjud:
cMOOCs(ing”connectivity MOOC”-bog’langan MOOC)  –ommaviylik,ochiq ro’yhatdan o’tish,malumotlardan kursni 
tugatguncha foydalanish,talim oluvchilarning teng huquqliligi,yani talaba va o’quvchi bitta jamoa.
xMOOCs(ing “eXtended MOOC”-kengaytirilgan MOOC)- nufuzli talim muassasalari tomonidan taklif etilgan ochiq 
onlayn kurslar.MOOC kurslari talim muassasalari o’qituvchilari tomonidan talim muassasasi dasturlari asosida yaratiladi 
va o’qish belgilangan grafik asosida olib boriladi.
                                 MOOClar materil va topshiriqlarni taqdim etishga ko’ra quydagi turlarga bo’linadi:
1 .task-based MOOCs (topshiriqqa asoslangan MOOClar)-talim oluvchilar belgilangan vazifalarni bajarish shart.
2. content-based MOOCs (kontentga asoslangan MOOClar) –asosiy faoliyatni o’qituvchilar olib boradi.
3. network-based MOOCs (tarmoqa asoslangan MOOC)-nafqat belglangan kontentni o’zlshtrish,ko’kmaga ega .b
Freelancer(ing.free-erkin,lancer-nayza )-erkin ishchi bo’lib,sosan bir martalik yoki mavsumiy xizmatlarni bajarish uchun 
yollangan,buyurtma asosida qandaydir ish yoki xizmatni kelishilgan haq evaziga belgilangan vaqt davomida amalga oshirib
beruvchi shaxs.
Copyrighter(kopirayter)- reklama bo’yicha yangi g’oyalar oylab topuvchi hamda reklama yoki marketingni boshqa 
shakllari matnini tuzuvchi shaxs.
SEOmutahasisi (ing.search engine optimization-qidiruv tizimini optimallashtirish)-qidiruv tizimlarida internet sahifalarini 
targ’ib qiluvchi mutaxasis.
3D model -obyektning haqiqiy ko’rinishiga o’xshash xayoliy uch o’lchamli raqamli tasvir.
12 ctrl + alt + e = oxirgi plomba
ctrl + alt + "= nuqta uchun sanp
Shift f1 = yordam
Shift f7 = tekislashni ko'rsatish
Shift f6 = ishtiyoq
Shift f9 = yo'l o'tkazgich
Shift f5 = shou uslubi
Shift f10 = shaffoflik
Shift f8 = aylantirish
f5 = cho'tkani ko'rsatish
f6 = rangni ko'rsatish
f7 = qatlamlarni yashirish
f8 = ma'lumotlarni ko'rsatish
f9 = gradiantni ko'rsatish
f10 = zarbani ko'rsatish
f11 = atributlarni ko'rsatish
PYTHON 
\t-tabulyatsiya belgisi
\n-yangi sartga o’tish belgisi
??????  Larri Peyj va Sergey Brin– Google yaratuvchilari .
??????  Sir-Tim Berners-Li – Internet tarmog’i yaratuvchisi . 
??????  Donald Knut – Algoritm qiroli .
??????  Brendan Ike – JavaScript dasturlash tilining yaratuvchisi .
??????  Mark Zukerberg – Facebook ijtimoiy tarmog’i asoschisi.
??????  Jeyms Gosling – Java dasturlash tilini yaratuvchisi.
??????  Bjarne Straustrup – C++ dasturlash tili asoschisi .
Ctrl + Tab —Keyingi varaqqa (tab, вкладка) o’tadi. Agar varaq bo’lmasa, u holda brouzerning chap tomonidan birinchi 
varaqqa o’tadi
Ctrl + Shift + Tab—Oldingi varaqqa o’tadi
Ctrl + W—Bu hozirgi varaq yoki yuzaga ochilgan oynani yopadi
Alt + F— Chrome yoki Uskunalar menyusini ochadi, u yerda Chrome o’rnatmalarini topish va o’zgartirish mumkin
Ctrl + H —Sahifa tarihini ochadi
Ctrl + J —  Ko’chirilgan narsalar joylashga sahifani ochadi
Ctrl + Shift + B—Xat cho’p qatorini ko’rsatadi/yashiradi
Ctrl + Shift + Delete—rouzerda ko’rilgan Ma’lumotlarini tozalash sahifasini ochadi
Ctrl + L— Veb adresni (URL) adreslar qatorida belgilaydi
Ctrl + D—Joriy sahifani xat cho’p sifatida saqlash
Ctrl + Shift + D— Barcha ochiq sahifalarni yangi xat  cho’p papkada saqlaydi
Ctrl + Shift + T— o'chirilgan varoqni qaytaradi
Ctrl+T — yangi varoq qo'shadi
                                                          Microsoft Word dasturida ko'p qo'llaniluvchi qaynoq tugmalar
1. Ctrl + N -Yangi dokumentni yaratish
2. Ctrl + О, yoki Ctrl - F12, yoki Alt+Ctrl+F2 -Majud bo'lgan (ilgari yaratilgan) dokumentni ko'rish yoki o'zgartirish uchun
ochish
3.  Ctrl + W - Ekranda ochiq bo'lgan dokumentni Ьerkitish.
4.  Ctrl + S, yoki Shift+F12, yoki Alt-Shift+F2 -Ekranda ochiq bo'lgan dokumentni s,aqlash
5.  Ctrl + Р, yoki Ctrl-Shift+F12 -Ekranda ochiq turgan dokumentni bosmaga chiqarish
6.  Ctrl + Z, yoki Alt + Backspace -Oxirgi bajarilgan xarakatni Ьekor qilish (orqaga qaytarish)
7.  Ctrl + Y, yoki F4, yok Alt + Enter-Bekor qilingan xarkatni qaytarish (oldinga qaytarish)
8.  Ctrl + Х, yoki Shift -Delete - Tanlab olingan matn qismi nusxasini xotiraga ko'chirib (qirqib) olish.
4 O’ZBEKISTON RESPUBLIKASI XALQ TA’LIM VAZIRLIGI
X orazm  VILOYATI  XALQ TA’LIMI  BOSHQARMASI
Hazorasp XALQ TA’LIMI BO’LIMI
“INFORMATIKA VA AXBOROT TEXNOLOGIYALARI” 
fani   o’qituvchilari uchun
Y.Normatova
                                           
1  103) 2 lik sanoq sistemasida 6 ta nol qatnashgan eng katta to’rt xonali 16 likda sonni ko’rsating. 
81FF
104) A1=1 deb A1 dan arifmetik progressiyada 2 qadam bilan to’ldirildi 61 soni qaysi yacheykaga to’g’ri keladi.
A31  yoki 29
105) Excelda katakdagi ma’lumotni o’zgartirish uchun qanday amal bajariladi?
Sichqoncha chap tugmasi 2 marta bosish orqali
106) Fayllar kompyuterning …. Saqlanadi?
Vinchester yoki qattiq disk
107) Marshrut nima? 
Marshrutlash – kerakli manzilga axborotlarni uzatish yo’lini aniqlash jarayonidir.
108) A1=1 deb A1 dan arifmetik progressiyada 3 qadam bilan to’ldirildi 100 soni qaysi yacheykaga to’g’ri keladi.
A34  yoki 32
109) Natija rost chiquvchi eng katta butun sonni aniqlang:
 NOT(x>3) AND (x - ikki xonali bir xil son)
110) x=90
       while(x<100):
             x+=3
       print(x)  dastur natijasini aniqlang.
102
111) Ochiq kodli CMS platformalari? 
WordPress, Joomla, Drupal, Typo3, OpenCart, Serendipity, Dotclear, ImpressPages, Chamilo, Magento, PrestaShop
112) Yopiq kodli CMS platformalari?
Shopify, 1С-Битрикс, CS-cart, DataLife Engine, BigCommerce , Shop-Script.
113) Ali 9 lik sanoq sistemasida 6 dan boshlab sonlarni ketma-ket probellarsiz yozib chiqdi. Agar yozilgan belgilar soni 25 
ta bo’lsa, oxiri qaysi raqam yozilgan?
1
114) Ali 16 lik sanoq sistemasida 5 dan boshlab sonlarni ketma-ket probellarsiz yozib chiqdi. Agar yozilgan belgilar soni 
21 ta bo’lsa, oxiri qaysi son yozilgan?
21
115) Axborot xavfsizlgining konsepsiya bosqichlari?
- himoyalash zarur bo’lgan axborot va texnik resurslarni aniqlash
- axborotlarga tahdidlar va maxfiylikni buzish mumkin bo’lgan tahdidning to’la to’plamini belgilash.
- axborot xavfsizli zaifligi va dasturlarning darajasini baholash.
-muhofaza tizimiga qo’yilgan talablarni aniqlashtirish.
-muhofazalash tizimining yaxlitligi va boshqarishni nazoratga olish.
116) Excelda A1=5 B1=6 avtoto’ldirish bajarilgandan so’ng BA1=?
33 Freelancerlikning afzalliklari: 1.Erkin ish tartibi.2.Ish joyini ozi belgilash.3.Mablag’ni tejash.4.Eng qulay ish sharoitlari. 
5.Ishni mustaqil ravishda tanlash.6.Jamoaga moslashishning shart emasligi.Sherikni o’z ixtiyori tanlash.
7.Katta daromad olish imkoniyati.8.Ko’p sohalar bo’yicha ishlash.9.Jamiyat hayotida ko’proq ishtirok etish imkoni.
Freelancerlikning kamchiliklari : 1.Daromat beqarorligi.2.yangi buyurtmalarni doimiy ravishda izlash,ularga vaqt 
sarflash,bazan freelance-sayt va reklamalar uchun pul sariflash.3.O’z-o’zini rag’batlantirish va vaqtni boshqarish.4.Doimiy 
aloqada bo’lish.Internet va mobil aloqaning uzluksiz ishlashini kuzatib borish.
Freelancerlik faoliyatini boshlash bosqichlari: 1.Ish joyini tayyorlash.2.Aloqa vositalarini tanlash.3.Xizmat narxini 
belgilash.4.Portfolioni yaratish 6.Buyurtmalarni qidirish.7.Soliqlarni o’z vaqtida to’lash.
PR(ing.publik relations-jamoatchilk bilan aloqalar)- tashkilot va jamoatchilik o’rtasidagi axborot oqimini 
boshqarish.PRning maqsadi potensial iste’molchi va boshqa manfaatdor tomonlarda tashkilotning ijobiy imijini yart
Internet freelancerlik bilan shug’ullanuvchi sohalar: 1.Matn bilan ishlash bo’yicha 
mutahasislar.2.Admistratorlar.3.Murabbiylar.4.Dizaynerlar 5.Kontent menejrlar 6.Web-dizaynerlar va sahifalovchilar 
7.Dasturchilar. 8.SMM marketing yurituvchi mutaxasisi
  Freelance saytlari: UPWORK  sayti(upwork.com) bulutli global freelance platformasibo’lib,bugungi kundagi eng katta ish 
qidiruvchilari jamg’armasi hisoblanadi. Freelancer.com,Hirelancer.uz
Photoshop 1990 yilda yaratilgan.Uning  uskunalar  paneli 70 dan ortiq.Asosiy menyulari:1. Fayl -tasvirlar saqlanadigan 
fayllar ustida amallar.2. Редактирование (тахрирлаш)  3. Изображение (тасвир) 4. Слои (қатлам) 5. Шриф ты  
6. Выделение ( ажратма ) 7. Фильтр    8. 3D   9. Просмотр  ( к ўриш) 10.  Окно  11. Справка
CTRL  ni bosib turib sichqonchani ishchi sohada bir marta bossak mashtab kattalashadi. ALT  ni bossak kichiklashadi.
Photoshopda tasvir o’lchamini uzaytirish qaysi menyuda.Navigator  (CTRL++, CTRL--)
Photoshopda  shablonni yasirish  CTRL+SHIFT+W ,Oldingi holiga qaytarish (vastanavit)  F12
-Ikki oichamli kompyuter grafikasi quyidagi turlarga ajratiladi :
1) rastrli grafika; 2) vektorli grafika; 3) fraktal grafika.
- Rast r so‘zi informatikaga televideniyedan kirib kelgan bo‘lib, lotin tilidagi rastram - xaskash, omoch so‘zidan olingan
- Adobe PhotoShopning  dastlabki versiyasi 1990-yilda yaratilgan.
- PhotoShopni ng  uskunalar panelida 23 ta uskuna bor
-PhotoShopda  rasm masshtabini o’zgartirish Navigator menyusida amalga oshiriladi
-   Bmp   (ingliz tilidagi  Bitmap Picture)  - rastrli tasvir jumlasidan olingan. 
-Gif  (Graphics Interchange Format)  - tasvirlar almashish formati jum lasidan olingan. Bir faylda bir necha tasvirlami saqlay oladi
va soda animatsiyalar uchun juda qulay. Kam joy egallaydi. Kamchiligi shuki, ko‘pi bilan 256 ta rangni saqlay oladi. 
- Tiff  (ingliz tilidagi  Tagged Image File Format)  - belgilab chiqilgan tasvir fayli formati jumlasidan olingan. 
- Jpeg   (Joint Photographic Experts Group) -   fotografiya ekspertlarining birlashgan guruhi (Yevropa ittifoqi) tomonidan ishlab
chiqilgan. Eng keng tarqalgan format.
-Pcx   (PC   eXchange)   -   shaxsiy   kompyuterda   ma’lumot   almashish   jumla sidan   olingan.   Birinchi   grafik   formatlardan   biri.   Bu
formatda juda ko‘p tas- virlar saqlangan. Oxirgi paytda uning o‘miga  png, jpeg  formatlaridan foy- dalanilmoqda.
-Raw   (ingliz tilida  raw)  - xom, hali tayyor emas, degan ma’noni bildiradi. 
-Pdf  (ingliz tilida Portable Document Format) -  elektron hujjatlar formati degan jumladan olingan.
 -   PhotoShopd a   rang tizimlari  RGB, CMYK,   HSB,   Hue
-Qizil kanalga Ctrl+3, yashil kanalga Ctrl+4, ko‘k ka nalga Ctrl+5 qo‘shtugmalari mos qo‘yilgan.
-Web-sayt (inglizcha - Website, web - o‘rgimchak to‘ri, site - joyi) - bu bir nechta web-sahifalarni kompyuter tarmog‘ida 
bitta manzilda  birlashtirilgan fayllar to‘plamidir (Domen ga yoki IP ga ega bo‘ladi).
-Domen - bu biror-bir serverda joylashgan saytga olib boradigan manzildir
-Hosting - bu web-sayt uchun joy ajratib beruvchi xizmat turidir
-Web-dizayn - bu yaratiladigan web-saytlarga texnik ishlov berish va axborotlarni tizimli ravishda shakllantirishdir
- CMS   tizimlarming asosiy afzallik jihati shundaki, dinamik web-saytlami oson yarata olish va ulami turli xil axborotlar bilau
to‘ldirish imkoniyati mav jud.
-   CMS   asosida   qurilgan   Drupal,   PHP-Nuke,   WebDirector,   NetCat,   Slaed,   Microsoft   CMS,   WordPress,   PHPShop   kabi
platformalami misol tariqasida aytish mumkin
-   web-sahifalami   yartish   va   ulami   bezashda   Java   Script,   Macromedia   Dreamweaver,   Macromedia   Flash   kabi   dasturiy
vositalardan foydalaniladi
-   Tools  - bu qismda to‘g‘ri chiziq, egri chiziq, aylana, ellips, to‘rtbur- chak chizish, matn yozish, belgi va shakllami belgilash, 
chizilgan shakllami o‘chirish ishlarini amalga oshirish mumkin.
13 87) Freelancer saytlarini ko’rsating.
https://www.upwork.com/ , Freelancer.com, Elance.com, Fiverr
88)  Wordda qizil to’lqin chiziq – orfagrafik xato
    Yashil to’lqinli chiziq – gramatik xato 
    Moviy to’lqin chiziq – xonteks xato
89) Simmetrik shifrlash nima maqsadda ishlatiladi? 
Simmetrik shifrlash ma’lumotni mahfiyligini ta’minlashda ishlatiladi.
 90) ERI (electron raqamli imzo) – bu?
Yopiq kalitining egasini identifikatsiya qilish imkoniyatini beradigan imzodir.
91) MOOC (Massive Open online Courses – ommaviy ochiq onlayn kurslar ) – qachon yaratilgan?
2008 yil Devid Kormier va Brayan Aleksandr
92) (x>=6) and not(x>12) natija rost bo’ladigan eng kichik qiymatini toping.
6
93) ERI qaysi algoritmda yaratilgan 
RSA (Rivest Shamir Adelman)
94) int (round(4.56666)+7//4)
6
95) Jumlani to’ldiring ____________ videoroliklar ulashish uchun qanday tarmoqdan foydalaniladi.
YOUTUBE
96) MS Excel. A va B ning ixtiyoriy natural qiymatida tomoni A va balandligi B bo‘lgan parallelogrammning yuzini to‘g‘ri
hisoblaydigan formulani ko‘rsating. A1 katakda A va B1 katakda B sonlar kiritilgan.
=ABS(A1*B1)
97) Power Pointda ESC tugmasining vazifasi
Namoyishni yakunlash
98) A1=7, B1=5, C1=13, D1=11
=MAKC(A1:D1)+Min(A1:D1)
13+(-5)=18
99) Facebookning rasmiy sayti.
Facebook.com
100) Ali 16 sanoq sitemasida 5 dan boshlab ketma-ket yoza boshladi. 25 ta raqam yozilganda to’xtatdi. Oxirgi yozgan 
sonni toping.
23
101) not (x>=15) and (x – toq son) javob rost bo’lgan eng kichik sonni toping.
13
102) 3 ta rangli quti va daftar kitob yozuv qurollari berilgan. Kitob qizil qutidan o’ngda, yozuv quroli kitobdan o’ngda. 
Kitob qaysi qutida joylashgan.
Sariqda daftar, Qizilda yozuv qurollari, Yashilda kitoblar
32 14
71) Arxivlangan faylni ochish?
Konteskt menyudan izvlech 
72) Wordda PageDown?
Keyingi  sahifaga o’tish
73) DeMO – vazifasi? 
Bepul dasturlarni, o’yinlarni namoyish qilish Platformasi belgilangan vaqt oralig’ida ishlashi mumkin bo’lgan nusxasi
74) Axborotni deshifrlash? 
Shifrlangan axborotni asl holiga qaytarish.
75) Vali 2 lik sanoq sistemasidagi sonlarni 7 dan boshlab ketma-ket bo‘sh joy qoldirmay yoza boshladi. Vali yozgan 
raqamlar soni 55 ta bo‘lsa, Vali yozgan oxirgi sonni aniqlang.
10011
76) 151
(10)  N sonini ayiring natija faqat 1111111 bo’lsin.
11000   
77) Axborotning muhimligi nimaga bog’liq.
a) Qurilma sifatiga
b) Axborotning foydaligiga nisbatan qarasa 
c) Axborot yo’qotilgandan keyin keltiradigan zarariga
78) Fraktal grafikada Matemtik formula asosida tasvir yaratiladi
79) MS Excel. Ox o‘qida koordinatalari orqali A1(x), B1(y), C1(z) nuqtalar berilgan (y<z). Agar A1 nuqta [B1; C1] 
kesmaga    tegishli bo‘lsa “YES”, aks holda “NO” javob chiqaruvchi formulani ko‘rsating. A1 katakda A, B1 katakda B va 
C1 katakda C nuqta koordinatalari kiritilgan.
= ЕСЛИ ( И (B1 - A1 <= 0; A1 <= C1); "YES"; "NO")
80) Photoshop nechanchi yil yaratilgan?
1990-yil
81) Identifikatsiya, Autentifikatsiya, Avtorizatsiya 
Axborot xavfsizligini ta’minlash uchun  
82) Iddentifikatsiya- bu?
Foydalanuvchini tizimga o’zini tanitish jarayoni bo’lib unda mijozning maxsus shaxsiy kartalaridan yoki uning biometric 
xususiyatlaridan foydalaniladi.
83) Autentifikatsiya – bu?
Foydalanuvchining to’g’riligini tekshiriladi va uning asosida tizimda faoliyat olib borishi mumkinligi yoki mumkin 
emasligi belgilanadi.
84) Avtorizatsiya – bu?
Foydalanuvchiga tizim tomonidan berilgan huquqlar majmuasidir.
85) Kiriptografiya – bu?
(Kripos – yashirin, logos -fan) ma’lumotni himoya qilishni asrlar davomida yig’ilgan manbalari va usullariga xos 
qonuniyatlarni o’rganadi.
86) Simmetrik usul RSA usuli
O’rin almashtirish siljitish
31 Misollar:
1. 1. print(-14 | -7)      2.  print(10  | -15)    3. print(-25 | -14)    4. print(32  | -14)
5. print(31  | -35)    6. print(-29 | 63)       7. print(-18  | -45)    8. print(-63  | -65)
      
Mantiqiy ko`paytirish    (&)
Misollar yechamiz
print(7  & 5)       ikkita son musbat bo`lgan xol
ikkala sonni ha 2-lik sanoq sistemasiga o`tkazib bu sonlarni mantiqiy ko`paytiramiz
7=111
2      5=101
2     
7 5 7&5
1 1 1
1 0 0
1 1 1
Natija 101
2  shunday bo`ldi endi bu sonni 10-lik sanoq sistemasiga o`tkazamiz 
         101
2 =5
10
print(7  & 5)=5  bo`ladi
Endi Ikkita sondan bittasi manfiy xolda qanday ishlanadi shuni ko`ramiz
1. print(-12  & 5)
bu misolda  birinchi bo`lib manfiy sonni modulini topib olamiz
|-12 |= 12
Shundan so`ng 7 va 5 sonlaridan kata va 2 ni darajasi ko`rinishida yozish mumkin bo`lgan eng kichik son topiladi
5<12<2^4= 16       16 soni ikkita sondan ham kata va 2 ni darajasi ko`rinishida yozish mumkin bo`lgan eng kichik 
son 
 Endi 16 dan manfiy sonni modulini ayiramiz
16-|-12 |=4
Endi 4 va 5 sonlarni 2-lik sanoq sistemasiga o`tkazib, mantiqiy ko`paytiramiz
4       =100
2
5       =101
2
4&5  =100
2
100
2  soni 2-likda turibdi shuni 10-likka o`tkazamiz  natija 4 bo`ladi
Javob :  4 
2. print(15  & -25)
bu misolda  birinchi bo`lib manfiy sonni modulini topib olamiz
|-25 |= 25
Shundan so`ng 15 va 25 sonlaridan kata va 2 ni darajasi ko`rinishida yozish mumkin bo`lgan eng kichik son 
topiladi
15<25<2^5= 32       32 soni ikkita sondan ham kata va 2 ni darajasi ko`rinishida yozish mumkin bo`lgan eng kichik 
son 
 Endi 32 dan manfiy sonni modulini ayiramiz
32-|-25 |=7
Endi 7 va 15 sonlarni 2-lik sanoq sistemasiga o`tkazib, mantiqiy ko`paytiramiz
7       =0111
2
15     =1111
2
21 <HTML>…</HTML>  Web sahifani tanasini ifodalaydi
<HEAD>…</HEAD>  Web sahifani bosh qismini ifodalaydi
<BODY>…</BODY>  Web sahifani tana qismini ifodalaydi
TEXT Web sahifadagi matn rangini belgilash uchun ishlatiladi
BGCOLOR Web sahofa fonini  o‘ zgartirish uchun ishlatiladi
BACKGROUND Web sahifa foniga rasm q o‘ yish uchun ishlatiladi
<TITLE>…</TITLE>  Web sahifaga sarlavha qo‘yadi
<FRAMESET>…</FRAMESET>  HTML hujjatni freym-strukturani shaklda aniqlaydi
<BR>  Matnni davomi yangi satrdan yozilishi kerakligini
anglatadi
<H1>…</H1>  Eng yuqori pog‘onali sarlavha qo‘yadi
SMM  - Social media marketing - ijtimoiy media marketing. Mahsulot va xizmatlarni targ‘ib qilish, xaridorlarni jalb
qilish hamda mahsulotlarni to‘g‘ridan-to‘g‘ri sotish faoliyatini ijtimoiy medialarda amalga ashirish. 
SMM ning afzalliklari:
- Ulkan axborot: matn, grafika, audio, video va boshqa turdagi reklama xabarlarini uzatish imkoniyati.
- Keng auditoriyaga samarali ta’sir ko‘rsatish.
- Maqsadli auditoriya bilan real vaqtda muloqotni tashkil etish.
- So‘rovnoma, statistika va formlar asosida maqsadli auditoriyaning fikr-mulohazalarini o‘rganish.
- Doimiy  xaridor va hamkorlar bilan aloqada bo‘lish va ularning talablariga javob berish.
-  Mablag‘ning kam sarflanishi.
SMM ning kamchiliklari:
- Ko‘p vaqt sarflanishi.
- Ko‘p mehnat talab etilishi.
- Foydalanuvchi bilan doimo aloqada bo‘lish va ularning qiziqishlarini ushlab turish.
- Mojaroli yoki salbiy vaziyat yuzaga kelsa, obro‘ga putur yetishi.
- Norasmiy va ochiq muloqot.
CMS  - Content management system - kontentning boshqaruv tizimlari. Tayyor shablonli tuzilmalar, ma’lumotlarni
kiritish   va   dizayn   ishlariga   mo‘ljallangan   funksiyalar   to‘plamidan   iborat   platforma.   Shuningdek,   CMS   matnli   va
multimediyali   sahifalardan   iborat   saytlarni   qulay   va   oson   yaratish   hamda   o‘zgartirish   (qo‘shish,   tahrirlash   va   o‘chirish)
imkonini beradigan boshqaruv tizimidir.
  CMS ning afzalliklari:
- Sayt bilan ishlash jarayonining soddaligi va qulayligi. 
- Qisqa vaqt ichida, yuqori tezlikda sayt yaratish imkoniyati. 
- Ortiqcha qiyinchiliklarsiz chiroyli dizayn yaratish imkoniyati. 
- Ko‘pfunksionallik. 
- Foydalanish huquqini boshqarish. 
CMS ning kamchiliklari:
- Tizim himoya qatlamini mustahkamlash zaruriyatining mavjudligi. 
- Shablon asosida ishlashi. 
- Nostandart funksiyalarga ega bo‘lgan maxsus saytlar yaratishning mushkulligi. 
L MS   -   learning   management   systems   -  ta’lim   boshqaruv   tizimlari.   Bilim   olish   faoliyatini   tashkil
etish va boshqarish uchun mo‘ljallangan hamda videodars, ma'ruza materiallari, taqdimot, kitob kabi
o‘quv materiallari majmuasidan iborat muloqot rejimida ishlay oladigan inson-mashina majmuasi yoki
38 53) Quyida HTML kodining bir qismi berilgan:
<table><tr><td> 102 </td><td> 51 </td><td> -102 </td> <td rowspan=2> 102 </td></tr> <tr><td colspan=2> 51 </td> 
<td> 56 </td></tr></table>.
Birlashgan kataklardagi sonlar yig’indisini kataklar soniga ko’paytmasini toping.
102+51=153*6=918
54) HTML kodining bir qismi berilgan:
<table><tr><td> 200 </td><td> 100 </td><td> -200 </td><td rowspan=2> 200 </td></tr><tr><td colspan=2> 100 
</td><td> 105 </td></tr></table>
Birlashtirilmagan kataklardagi sonlar yig’indisiga barcha kataklar sonining ko’paytmasini aniqlang. 
100+105=205*6=1230
55) HTML kodining bir qismi berilgan:
<table><tr><td> 42 </td><td> 21 </td><td> -42 </td><td rowspan=2> 42 </td></tr><tr><td colspan=2> 21 </td><td> 26 
</td></tr></table>
Birlashtirilgan kataklardagi sonlar yig’indisiga barcha kataklar sonining ko’paytmasini aniqlang. 
42+21=63*6=378
56) Quyidagi HTML kodining bir qismi berilgan. Veb-brauzer oynasida ham og’ma, ham qalin shriftlarda aks etgan rim 
sonlarining yig’indisini hisoblang.
<strong><u>CXXIX</strong></u><cite><b>LIX</cite></b><em><u>CXIV</em></u><b><i>LXII</b></
i><u><cite>XXIX</u></cite><b><u>XXXIV</b></u>
LIX+LXII=59+67=126
57) Quyidagi HTML kodining bir qismi berilgan. Veb-brauzer oynasida ham og’ma, ham tagchiziq shriftlarda aks etgan 
rim sonlarining yig’indisini hisoblang.
<strong><u>CXXXI</u></strong><cite><b>LXI</b></cite><em><u>CXVI</u></em><b><i>LXIV</i></
b><u><cite>XXI</cite></u><b><u>XXXVI</u></b>
CXVI+XXI =116+21=137
58) Quydagi html-hujjat kodi yozilishi bo’yicha kataklar ketma-ket sanalganda nechanchi katakda qalin shiriftli 
markerlangan ro’yxat qo’llanilgan? 
<table><tr><td colspan=2><em><ul><li> test </em></ul></td><td  rowspan=2><ul><strong><li> test 
</strong></ul></td></tr><tr><td><strong><ol><li> test </strong> </ol></td><td><ol><cite><li> test 
</cite></ol></td></tr></table>
2-katakda
59) Quydagi html-hujjat kodi yozilishi bo’yicha kataklar ketma-ket sanalganda nechanchi katakda tag chiziq shrift 
qo’llangan?
<table><tr><td colspan=2> <p> test </p></td>
<td rowspan=2><strong> test </strong></td></tr>
<tr><td><em> test </em></td><td><u> test </u></td></tr></table>
4-katakda
60) HTML kodining qismi berilgan:
<table><tr><td> 160 </td><td> 80 </td> <td> -160 </td> <td rowspan=2> 160 </td></tr><tr><td colspan=2> 80 
</td><td> 85 </td></tr></table>.
Birlashtirilmagan katakdagi sonlar yig’indisiga kataklar sonining ko’paytmasini aniqlang.
29 4
16) (x≥6)∧not	(x>12	)  natija rost bo’ladigan eng kichik qiymatni toping.
Javob: 6
17) Power Pointda yangi slayd qo’shish.
Контекст   меню  –  Создать
18) Power Pointda taqdimot vaqtida PageDown tugmasini vazifasi.
Keyingi slaydga o’tadi
19) Power Pointda obyektni qayta nomlash 
F2 yoki kontekst menyudan – pereminavat 
20) Photoshopda F12 ning vazifasi
Востановить
21) Elektron imzo qaysi algoritmda yaratilgan?
RSA
22) int (round(4.56666)+7//4)=?
6
23) Ali 8 lik sanoq sistemasida 1 dan boshlab yozdi to 25 ta raqamgacha yozdi. Oxirgi yozgan sonni toping.
1,2,3,4,5,6,7,10,11,12,13,14,15,16,17,  
20
24) |-6|=6 moduldan bitta kamini ajrat 10 ta birdan  Dec BB(-1)=1111111111 
Ya’ni -1 dan
25) HTML da tag chiziqli va og’ma ko’rinishdagi rim sanoq sistemasini sonlarini yig’indisini toping.
<strog> <u> VC </u> </strong>
<cite> <b> CDV </cite> </b>
<em> <u> XCVIII </em> </u>
<b> <i> XCV </b> </i> 
<u> <cite> I </u> </cite>
<b> <u> IV </b> </u>
Javob: XCVIII+I=98+1=99  
26) 3 23
   4 likda oxirgi raqamini toping
Juft darajada 1 bilan tugaydi toq darajada 3 bilan tugaydi. 
Javob: 23 chisi  3 bilan tugaydi
27) HTML nima uchun kerak
Web sahifaga
28) Elektron hukumat! 
Davlat organlarining jismoniy va yuridik shaxslariga axborot – komunikatsiya texnologiyalarini qo’llash yo’li bilan davlat 
xizmatlari ko’rsatishga doir faoliyatmi hamda idoralararo electron hamkorlik qilishni ta’minlashga qaratilgan tashkiliy-
huquqiy chora-tadbirlar va texnik vositalar tizimidir.
26 Marshrutizator-  ikki va undan ortiq turli xildagi tarmoqni bir-biri bilan bog’lab beruvchi qurilma
RSA -assimmetrik kalitlar asosida shifrlash usuli
Ijtimoiy media  – ko’plab faol foydalanuvchilarga internet platform.
Brend  – bir mahsulotning boshqa maxsulotlardan farqlanib turuvchi dizaynga ega belgisi.
Maqsadli auditoriya  – maxsulotingizni sotib olish yoki xizmatingizdan foydalanish ehtimoli yuqori bo’lgan shaxs.
Kontent - maqsadli loyiha uchun yaratilgan sahifa,videorolik yoki tasvir.
Youtube -ko’plab inter faol foydalanuvchilarga ega videoroliklar platformasi. 2005-yil Steven Chen,Chad Hurle
Facebook - xabarlashish va marketing faoliyatini yurutuvchi ijtimoiy tarmoq.2004 Mark Sukerberg
Telegram  –onlayn suhbatlashish va turli formatdagi fayllarni almashish tarmog’i.2013 Nikolay va Pavel Durov
Instagram  –foto va videolarni ulashish uchun mo’ljallangan tarmoq.2010 Kevin Systrom va Maykl Kriyen
SMMni internet tarmog’ida harakatlantirish bosqichlari :1.Maqsadni aniqlash 2.Maqsadli auditoriyani aniqlash 
3.Ijtimoiy media marketing uchun platformani tanlash 4.Raqobatchilarni o’rganish 5.Qiziqarli takliflar
Logotip - loyiha mavzusiga mos maqsadni ifodalovchi tasvir
Template(shablon)-  mazmuni(matn, rasm,multimedia va b) sayt tizimi mexanizimi tomonidan to’ldiriladigan o’ziga xos 
dizayn va tuzilmaga ega HTML teglar to’plamidan iborat sahifa.
9 130) MS Wordda jadvalning ajratilgan satri klaviatura orqali qanday o‘chiriladi?
BACKSPACE klavishini bosish orqali
131) A1=1;   A2= Факт (A1);  B1=2;  B2=  Факт (B1).   A1 dan B2 gacha belgilab pastki qora nuqtasidan F2 gacha tortildi 
F2 dagi son qiymatini toping. 
720
132) x=20  num(20) if x>0: birnarsa else: 11   print(num) natijani toping.
birnarsa
133) Quydagilardan qaysilari True qiymatga ega:
1) print(bool(-10))
2) print(bool(0))
3) print(bool(10))
4) print(bool(1111))
5) print(bool(‘abc’))
1,3,4,5
134) Natijasi [1,2,7,8,9,5] chiqadigan to’g’ri yozilgan dasturni aniqlang.
 a=[1,2,3,4,5]
 a[2:4]=[7,8,9]
 print(a)
135) Dastur natijasini aniqlang.
a=[1,2,3,4,5,6]
a[3:5]=[7,8,9]
print(a)
[1,2,3,7,8,9,6]
136) Dastur natijasini aniqlang.
x=True
y=False
z=False
if not x or y:
print(1)
elif not x or not y and z:
print(2)
elif x and y or not z:
print(3)
else:
print(4)
3
137) Dastur natijasini aniqlang.
35 4. A mulohaza rost, B mulohaza yolg’on , qolgan holatlarda rost bo’ladigan mlohaza  Implikatsiya  deyiladi  belgilari:  =>, -
>,  
A B A=>B
 0 0 1
0 1 1
1 0 0
1 1 1
5. A va B mulohazalar bir vaqtda rost yoki bir vaqtda yolg’on bo’lganda rot bo’ladigan mulohazaga A va B 
mulohazalarning  ekvivalensiyasi  deyiladi.                   Belgilar : <=>, <->
A B A<=>B
 0 0 1
0 1 0
1 0 0
1 1 1
Matematik funksiyalar
Exceldagi
Nomi Bajaradigan vazifasi Misollar
ABS(son) Son ning   absolyut   qiymatini
hisoblaydi ABS(–274)=274;       ABS(48)=48;
ABS(–1,23)=1,23;     ABS(0)=0
ЗНАК( son ) Son manfiy bo’lsa –1, 0 bo’lsa 0,
musbat bo’lsa 1 qiymatga teng ЗНАК( –7,5 ) = –1;
ЗНАК( 0 ) = 0;
ЗНАК( 2011 ) = 1
КОРЕНЬ( son ) Sonning   kvadrat   ildizini
hisoblaydi КОРЕНЬ( 4 ) =2;
КОРЕНЬ( 81 ) =9;          КОРЕНЬ( 0,04 ) =0,2
ОСТАТ( son;
bo’luvchi ) Sonni   bo‘luvchiga   bo’lgandagi
qoldiqni hisoblaydi ОСТАТ (45;7)=3;         ОСТАТ (15;3)=0;
ОСТАТ (-191;10)=9
СТЕПЕНЬ (son; daraja
ko‘rsatkichi) Son ni darajaga ko‘taradi СТЕПЕНЬ (3;4)=81;          СТЕПЕНЬ (2;10)=1024; 
СТЕПЕНЬ ( - 1,7; 5)= – 14,1986
СУММ (son1; son2; 
…) Katakchalar   blokidagi
qiymatlarning   yig‘indisini
hisoblaydi СУММ( G 4: G 13)=330;
СУММ( C 4: C 13;  E 4: E 13)= 115
ЦЕЛОЕ( son ) Kichik butun songacha yaxlitlaydi ЦЕЛОЕ( 5,5 ) =5;
ЦЕЛОЕ( –5,5 ) =–6
Mantiqiy funksiyalar
И (mantiqiy ifoda1; 
mantiqiy ifoda2; …) Agar   mantiqiy   ifodalarning
barchasining   qiymati   ROST   bo‘lsa,
(VA   ning)   funksiyaning   qiymati
ROST, aks holda funksiyaning qiymati
YOLG‘ON И (500>5*100)=YOLG‘ON;
И (5>1;99/3-1>31)=ROST;
И (C7+C8>G6)=YOLG‘ON;
И (C4=E3; C4>=C7)=ROST
ИЛИ (mantiqiy ifoda1; 
mantiqiy ifoda2; …) Agar   mantiqiy   ifodalarning
birortasining   qiymati   ROST   bo‘lsa,
(YOKI   ning)   funksiyaning   qiymati
ROST, aks holda funksiyaning qiymati
YOLG‘ON ИЛИ (SIN(500)>5)=YOLG‘ON;
ИЛИ (0,5>=1/2; -1>31)=ROST;
ИЛИ (C5=5; E13>=11)= YOLG‘ON;  ИЛИ (C5=5; 
E12<=11)= ROST
ЕСЛИ (mantiqiy ifoda; 
ifoda1; ifoda2) (AGAR)   funksiyasi   qiymati   mantiqiy
ifoda   qiymati   ROST   bo‘lsa   ifoda1ga,
yolg‘on bo‘lsa ifoda2 ga teng bo‘ladi ЕСЛИ(700/7-1>50; 1963; 1)=1963; ЕСЛИ(5*5=24; 0;
9+12)=21;
ЕСЛИ( E 12> G 10; G 10–12;“ BOBUR ”)= BOBUR
Statistik funksiyalar
МАКС ( son1; son2;…) son1,   son2,   …   larning   eng   katta   qiymatini
aniqlaydi МАКС(1; 2; –7)=2;
МАКС( E 4: E 12;  G 13)=60
МИН ( son1; son2;…) son1,   son2,   …   larning   eng   kichik   qiymatini
aniqlaydi МИН (1; 2; –7)= –7;
МИН (E3:E13)=1
19 2. Iddentifikatsiya - bu?
Foydalanuvchini   tizimga   o‘zini   tanitish   jarayoni   bo‘lib   unda   mijozning   maxsus   shaxsiy   kartalaridan   yoki   uning   biometrik
xususiyatlaridan foydalaniladi.
3. Autentifikatsiya - bu?
Foydalanuvchining to‘g‘riligini  tekshiriladi va uning asosida tizimda faoliyat olib borishi mumkinligi yoki mumkin emasligi
belgilanadi.
4. Avtorizatsiya - bu?
Foydalanuvchiga tizim tomonidan berilgan huquqlar majmuasidir.
40 CMS ( content   management   system -  kontentni   boshqaruv   tizimi )-  tayyor   shablonli   tuzilmalar , malumotlarni   kiritish   va  
dizayn   ishlariga   mo ’ ljallangan   funksiyalar   to ’ plamidan   iborat   platforma . Shuningdek   matnli   va   multimediali   sahifalardan  
iborat   saytlarni   qulay   va   oson   yaratish   hamda   o ’ zgartirish ( qo ’ shish , tahrirlash   vao ’ chirish )  imkoni   bor .
CMSning afzalliklari:  1.Sayt bilan ishlash soddaligi va qulayligi. 2.Qisqa vaqt ichida,yuqori tezlikda sayt yaratish 
imkoniyati. 3.Ortiqcha qiyinchiliklarsiz chiroyli dizayn yaratish. 4.Ko’p funksionallik 5.Foydalanish huquqini bera.
CMSning kamchiliklari:  tizim himoya qatlamini mustahkamlash zaruratini mavjudligi, Shablon asosida 
ishlash,Nostandart funksiyalarga ega bo’lgan maxsus saytlar yaratishni mushkulligi.
Yopiq kodli platform - shifrlangan dasturiy ta’minot.Uni takibini ko’rib chiqish,tahrirlash,o’zgartirish,unga qo’shimcha 
kiritish mumkin emas.
Plugin(plagin) - dastutiy taminot uchun qo’shimcha ilova.U dastur imkoniyatlarini kengaytirish uchun xizmat qildi.
CMS platformalari 2 guruhga bo’linadi:  Ochiq kodli va yopiq kodli
Ochiq kodli(bepul tarqatiladigan)  – foydalanuvchi tomonidan ichki kodini o’zgartirilishiga ruxsat beriladigan tizimlar: 
WordPress,Joomla,Drupal,Typo3,OpenCart,Serendipity,Dotclear,ImpressPages,Chamilo,Magento,Presta
Yopiq kodli(tijorat maqsadida tarqatiladigan)  ichki kodni o’zgartirishga ruxsat yo’q Shopify,1C-Bitriks,CS-
cart,DataLife Engine,BigCommerce,Shop-Script.
Joomla -o’ta soda,maxsus bilim talab qilmaydigan,sayt yaratishni boshlovchilar uchu bepul tizim
Drupal - to’liq sayt yaratish uchun o’zida barcha elemetlarni qamrab olgan sekin ishlovchi platform.
Lokal web server  –mijozdan kelayotgan so’rovlarni qabul qilib olib, ularga mos javoblarni jo’natadigan dastur.
Vidgets(vijet)- saytni turli qisimlarida joylashgan axborotli yoki funksional blok
LMS (Learning management system Talim boshqaruv tizimlari) – bilim olish faoliyatini tashkil etish va boshqarish 
uchun mo’ljallangan hamda videodars,maruza materiallari,taqdimnoma majmuasi yoki masofaviy talim shakli.
 LMSni interfeysi:Masofaviy o’qish,Learning -o’qish,  Management -boshqaruv, System -elektron tizim
LMSni afzalliklari:  1. Foydalanishni erkinligi 2.O’qish xarajatlarini kamaytirish 3.Moslashuvchanlik 4.Zamon bilan 
hamnafasligi 5. Talim olishni tengligi 6.Bilimlarni baholashni obyektiv mezonini belgilash imkoniyati 7. Tajriba almashish 
8.Statistuka
LMSni kamchiliklari:  1.O’quvchi va o’qituvchi o’rtasida bevosita aloqaning mavjud emasligi o’quv jarayonni nazorat 
qilish va o’quvchini natijalarini baholashni qiyinlashtiradi. 2.LMSni joriy etish zamonaviy texnalogik qurilmalarni talab 
etadi. 3.O’quvchilar yuqori AKT kompetentlikka hamda o’z o’quv dasturlarni electron talimga moslashtirish qobiliyatiga 
ega bo’lishlari lozim. 4.O’qituvchi individual pedagogic mahoratini namoyish qila olmaydi.
Admistrator - Tizimda ishlash va uni boshqarish uchun keng huquqlarga ega bo’lgan mutahasis xodim.
Chat - axborot almashish real vaqtda olib boriladigan internetdagi muloqot
Forum - sayt orqali muloqot olib boorish shakli.Forumda suhbatlar foydalanuvchi yoki admistrator tomonidan kiritilgan 
mavzu asosida olib boriladi.
LMS tizimlarining asosiy vazifalari:  O’quv kontentlari bilan ishlash,O’quv jarayonini 
boshqarish,Baholash,Foydalanuvchilar o’rtasida o’zaro aloqa,Statistika.
LMS platformalari 3 turga bo’linadi: Bulutli platformalar,serverga asoslangan va CMS bilan integratsiyalangan 
Bulitli platform - o’z xizmatlarini foydalanuvchi resurslariga bog’liq bo’lmagan holda taqdim etuvchi platform.
Korporativ -bir vaqtda bir necha hududdan turli pog’onalarda boshqariluvchi tarmoq.
LMSni interfeysi:
11 42 101010 1120 222 132 110 60 52 46 2A
43 101011 1121 223 133 111 61 53 47 2B
44 101100 1122 230 134 112 62 54 48 2C
45 101101 1200 231 140 113 63 55 50 2D
46 101110 1201 232 141 114 64 56 51 2E
47 101111 1202 233 142 115 65 60 52 2F
48 110000 1210 300 143 120 66 61 53 30
49 110001 1211 301 144 121 100 62 54 31
50 110010 1212 302 200 122 101 63 55 32
51 110011 1220 303 201 123 102 64 56 33
52 110100 1221 310 202 124 103 65 57 34
53 110101 1222 311 203 125 104 66 58 35
54 110110 2000 312 204 130 105 67 60 36
55 110111 2001 313 210 131 106 70 61 37
56 111000 2002 320 211 132 110 71 62 38
57 111001 2010 321 212 133 111 72 63 39
58 111010 2011 322 213 134 112 73 64 3A
59 111011 2012 323 214 135 113 74 65 3B
60 111100 2020 330 220 140 114 75 66 3C
61 111101 2021 331 221 141 115 76 67 3D
RIM raqamlar  .
I-1 , V-5, X-10, L-50, C-100, D-500, M -1000.  Agar kata raqamdan keyin kichik yozilsa, u son bu raqamlar yig’indisida 
teng? 
Masalan: VI-6, XII-12, LX-60, CLXI-161, MDXVII-1517, MDCLXVI-1666
Agar katta raqam oldiga kichik raqam yozilsa, u bu raqamlar kattasidan kichigini ayirmasi. 
Masalan: IV-4, XI-9, CX -90, IC-99, CCXCVI-296
 MAntiqiy amallar:
1. A va B sodda  mulohaza bir paytda rost bo’lgandagina rost bo’ladigan mulohaza .  Mantiqiy  ko’paytirish  amali-
konyunksiya  deyiladi?                 Belgilari:  VA,   and,  ʌ,  ·,  ∩,  &                                                      
A B A&B
 0 0 0
0 1 0
1 0 0
1 1 1
2. Ikkita   A   va   B    sodda   mulohazaning   kamida   bittasi   rost   bo ’ lganda   rost ,  qolgan   holatlarda   yolg ’ on   bo ’ ladigan   yangi  
mulohazani   hosil   qilish   Mantiqiy   qo ’ shish   amali - dizyunksiya   deyiladi ?              Belgilari:  yoki, or, V, +, ∩, 
A B AVB
 0 0 0
0 1 1
1 0 1
1 1 1
3. A   mulohazani   qiymati   rost   bo ’ lganda   yolg ’ on   bo ’ lganda   yolg ’ on   bo ’ lgan   rost    qiymatga   o ’ zgartira   oladigan   amalga  
Mantiqiy   inkor   amali - inversiya   deyiladi ?                  Belgilari:  emas, not, ˥, Ȧ,  
A ˥ A
 0 1
1 0
18 80+85=165*6=990
61) Quydagi html-hujjat kodi yozilishi bo’yicha kataklar ketma-ket sanalganda nechanchi katakda tartiblangan ro’yxat 
ishlatilgan?
<table><tr><td colspan=2><u><ol><li> test </ol></u></td><td rowspan=2><b><ul><li> test 
</ul></b></td></tr><tr><td><i><dl><dt> test </dl></i></td> <td><sub><dl><dd> test </dl></sub></td></tr></table>
1-katakda
62) HTML kodining qismi berilgan:
<table><tr><td> 170 </td><td> 85 </td> <td> -170 </td> <td rowspan=2> 170 </td></tr><tr><td colspan=2> 85 
</td><td> 90 </td></tr></table>.
Birlashtirilgan katakdagi sonlar yig’indisiga kataklar sonining ko’paytmasini aniqlang.
170+85=255*6=1530
63) CMS platformalar necha guruhga bo’linadi va ular qaysilar
—ochiq kodli (bepul tarqatiladigan), 
—yopiq kodli (tijorat maqsadida tarqatiladigan
64) Google ning yaratuvchilar kimlar?
Sergey Brin va uning do‘sti Larri Peyj Stenford universitetida o‘qib yurgan paytlarida 
Googleni yaratishdi
65) Ali – eni 1001
(2)  , bo’yi 101
(2)  bo’lgan polni bo’yamoqda. Tomoni 11
(2)  bo’lgan kvadrat qismiga bo’yoq yetmadi. Ali 
polning qancha kvadrat qismini bo’yagan ikkilikda.
100100
66) Ali aytdi – “Halil 2 dan yuqori baho oldi”
     Vali aytdi – “Halil 3 dan yuqori baho oldi”
     Soli aytdi – “Halil 4 dan yuqori baho oldi”
Yuqoridagi mulohazalardan bittasi rost bo’lsa, Halil nechi baho olgan.
Halil 3 baho olgan
67) Ali Vali va Soli imtihonda 3 xil ball olishdi. Quydagi mulohazalardan faqat bittasi yolg’on bo’lsa: “Ali 3 ball olgan” , 
“Vali 4 ball olgan” , “Soli 5 ball olmagan”. Agar Ali 4 ball olmagani ma’lum bo’lsa o’quvchilarini olgan ballarini toping.
Ali – 5 ball olgan, Vali – 4 ball olgan, Soli – 3 ball olgan.  
68) Otasi bilan bolaning yoshi 31 ga teng. Bobosi bilan bolaning yoshi  88 ga teng. Bola 10 yoshga to’lganda bobosini 
yoshi nechaga teng bo’ladi.
Bobosini Yoshi: 85,87,89,91,93,95
69) n=5
      m=4
    a=[[0]*m]*n
    a[0][0]=4
    print(a[1][0]) 
natijani aniqlang. 
4
70) not(x<2) and (x<15)=Rost   bo’ladigan eng kichik butun sonni toping?
30 CTRL + H – Izlash va almashtirish
F4 yoki CTRL + Y – So‘nggi harakatni takrorlash
F12 – … sifatida saqlash
CTRL + F5 – Onlayn taqdimot
Apple  — Stiv Jobs kompaniyaga uzoq muddatgacha munosib nom topa olmaydi va bir kuni u, agar munosib nom 
topilmasa, uni Apple (olma) deb nomlashini aytadi. Shu tariqa kompaniya uning sevimli mevasi nomini oladi. 
Brend  — bir mahsulotning boshqa mahsulotlardan farqlanib turuvchi dizaynga ega belgisi. 
Bulutli platforma  — o‘z xizmatlarini foydalanuvchi resurslariga bog‘liq bo‘lmagan holda taqdim etuvchi platforma. 
CMS (content management system — kontentni boshqaruv tizimi ) — tayyor shablonli tuzilmalar, ma’lumotlarni kiritish va 
dizayn ishlariga mo‘ljallangan funksiyalar to‘plamidan iborat platforma
CMSNING KAMCHILIKLARI  - Tizim himoya qatlamini mustahkamlash zaruratining mavjudligi. Juda keng tarqalgan 
boshqaruv tizimlarining ichki tuzilmalari xakerlar tomonidan o‘rganib chiqiladi, natijada ularning zaif tomonlari 
ko‘pchilikka oshkor bo‘lib qoladi. Chunki bunday tizimni buzish professional xakerlar uchun qiyinchilik tug‘dirmaydi.
DEMO versiya  — platformaning belgilangan vaqt davomida ishlashi mumkin bo‘lgan nusxasi. Ochiq kodli dasturiy ta’minot
— dasturning kodi ochiqligi sababli tegishli o‘zgartirishlar kiritish imkoniyati mavjud bo‘lgan dasturiy ta’minot
Drupal (https://www.drupal.org/)  — to‘liq sayt yaratish uchun o‘zida barcha elementlarni qamrab olgan, ko‘pfunksional, 
nisbatan sekin ishlovchi platforma.
Facebook  — xabarlashish va marketing faoliyatini yurituvchi ijtimoiy tarmoq. 
Freelance saytlari- FIVERR, UPWORK, FREELANCER, HIRELANCER
Google  — googol so‘zi lotincha atama bo‘lib, 10 ning 100-darajasi, 100 ta noldan iborat birlik. Brendni ro‘yxatdan o‘tkazish
jarayonida xatolik yuzaga kelgan va natijada google nomini olgan. 
Google kompaniyasi rasman 1998-yilning 4-sentabrida Kaliforniya shtatida, Menlo-Parkdagi garajda ro‘yxatdan 
o‘tkazilgan. Sergey Brin va uning do‘sti Larri Peyj Stenford universitetida
Hosting (xosting ) — sayt uchun joy ajratib beruvchi xizmat turi. Har qanday sayt biror serverda joylashtiriladi va muayyan 
hajmdagi  joyni egallaydi. Domain (domen) nomi  — lokal yoki global tarmoq (internet) serverlaridan birida joylashgan 
saytning manzili yoki nomi. Domen orqali sayt joylashgan xosting va baza bilan bog‘lanish mumkin.
Ijtimoiy media  — ko‘plab faol foydalanuvchilarga ega internet platforma. 
Instagram  — foto va videolarni ulashish uchun mo‘ljallangan tarmoq
Instagram —  Instant — “bir lahzada” hamda Telegram — “telegramma” so‘zlari birikmasidan hosil qilingan.
Instagram Kevin Systrom va Mayk Krieger tomonidan yaratilgan bo‘lib, bepul mobil ilova sifatida 2010-yilning oktabr oyida
ishga tushirilgan.
Joomla (https://www.joomla.org/) —  o‘ta sodda, maxsus bilim talab qilmaydigan, sayt yaratishni boshlovchilar uchun 
mo‘ljallangan bepul tizim turi.
Kontent  — maqsadli loyiha uchun yaratilgan sahifa, videorolik yoki tasvir. 
Korporativ  — bir vaqtda bir necha hududdan turli pog‘onalarda boshqariluvchi tarmoq
LearnDash  — ommabop kontent boshqaruv tizimi (CMS)da sinflar yaratish, ularni boshqarish, o‘zgartirish va nashr etish 
imkonini beruvchi ishonchli plagin. Bu plagin WordPress platformasi tarkibida ishlaydi.
LMS  — learning management systems — bilim olish faoliyatini tashkil etish va boshqarish uchun mo‘ljallangan hamda 
videodars, ma’ruza materiallari, taqdimot, kitob kabi o‘quv materiallari majmuasidan iborat muloqot rejimida ishlay 
oladigan inson-mashina majmuasi yoki masofaviy ta’lim shakli.
LMSNING KAMCHILIKLARI  - O‘quvchi va o‘qituvchi o‘rtasida bevosita aloqaning mavjud emasligi o‘quv jarayonini nazorat 
qilish va o‘quvchi natijalarini baholashni qiyinlashtiradi. LMSni joriy etish zamonaviy texnologik qurilmalarni talab etadi. 
O‘qituvchilar yuqori AKT kompetentlikka hamda o‘z o‘quv dasturlarini elektron ta’limga moslashtirish qobiliyatiga ega 
bo‘lishlari lozim. O‘qituvchi individual pedagogik mahoratini to‘liq namoyish qila olmaydi
Logotip —  loyiha mavzusiga mos maqsadni ifodalovchi tasvir.
Maqsadli auditoriya  — mahsulotingizni sotib olish yoki xizmatingizdan foydalanish ehtimoli yuqori bo‘lgan shaxslar. 
Moodle  — o‘quv materiallarini turli usullarda uzatish (15 turdagi interfaol vosita), bilimlarni tekshirish va o‘zlashtirish 
monitoringini yuritish uchun mo‘ljallangan platforma.
Moodle (Modular Object-Oriented Dynamic Learning Environment) (http:// moodle.org/) masofaviy ta’lim olish muhiti 
hisoblanib, sifatli masofaviy kurslarni yaratish uchun mo‘ljallangan. Bu dasturiy mahsulot dunyoning 100 dan ziyod 
mamlakatlarida ishlatiladi.
ochiq kodli (bepul tarqatiladigan), foydalanuvchi tomonidan ichki kodining o‘zgartirilishiga ruxsat beriladigan tizimlar: 
WordPress, Joomla, Drupal, Typo3, OpenCart, Serendipity, Dotclear, ImpressPages, Chamilo, Magento, PrestaShop; — 
Platforma  — o‘zining imkoniyati va funksiyalari orqali boshqa tizimlarni yo‘lga qo‘yishga xizmat qiluvchi “o‘zak dastur”
Samsung  — koreys tilidan tarjima qilinganda, “3 ta yulduz” ma’nosini beradi. 
6 46)  Pythonda  o’zgaruvchi  bo’la  olmaydiganlarni toping.
o‘zgaruvchi nomlarida probellarishlatish mumkin emas, uning o‘rniga so‘zlar (‘_’) 
tagchiziqbelgisi yordamida bir-biriga bog‘lanadi;
o‘zgaruvchining nomi raqamdan boshlanishimumkin emas;
–, /, # yoki @ belgilarniishlatish mumkin emas;
maxsus buyruq nomlariniishlatish mumkin emas;
and, as, assert, break, class, continue, def, del, elif, else, except, finally, for, from, global, 
if, import, in, is, lambda, nonlocal, not, or, pass, print, raise, return, try, while, with, yield 
kabi xizmatchi so‘zlarnio‘zgaruvchi nomi sifatida ishlatish mumkin emas.
47)  Yopiq  kodli   CMS   platformalari .
yopiq kodli (tijorat maqsadida tarqatiladigan), foydalanuvchi tomonidan ichki kodining 
o‘zgartirilishiga ruxsat berilmaydigan tizimlar: Shopify, 1С-Битрикс, CS-cart, DataLife Engine, BigCommerce , Shop-
Script.
48) Quyidagi HTML kodining bir qismi berilgan. Veb-brauzer oynasida ham og’ma, ham qalin shriftlar aks etadigan rim 
raqamlarining yig’indisini aniqlang. 
<strong><u>CXLIV</u></strong><cite><b>LXXIV</b></cite><em><u>CXXIX</u></em><b><i>LXXVII</i></
b><u><cite>XLIV</cite></u><b><u>XLIX</u></b>
LXXIV+LXXVII=151
49) Quyidagi HTML hujjat kodi yozilishi bo’yicha kataklar ketma-ket sanalganda nechanchi katakka og’ma shirift 
qo’llanilgan?
<table><tr><td colspan=2><u><ol><li> test </ol></u></td><td rowspan=2><b><ul><li> test 
</ul></b></td></tr><tr><td><i><ol><li> test </ol></i></td> <td><sub><dl><dd> test </dl></sub></td></tr></table>
3 katakda
50) Quyida HTML kodining bir qismi berilgan:
<table> <tr><td> 2 </td><td> 1 </td> <td> -2 </td> <td rowspan=2> 2 </td></tr><tr><td colspan=2> 1 </td><td>  6 
</td></tr></table>.
Birlashgan kataklardagi sonlar yig’indisini kataklar soniga ko’paytmasini toping.
18
51) Quydagi html-hujjat kodi yozilishi bo’yicha kataklar ketma-ket sanalganda nechanchi katakda qalin shiriftli 
tartiblangan ro’yxat qo’llanilgan? 
<table><tr><td colspan=2><em><ul><li> test </em></ul></td><td  rowspan=2><ul><strong><li> test 
</strong></ul></td></tr><tr><td><strong><ol><li> test </strong> </ol></td><td><ol><cite><li> test 
</cite></ol></td></tr></table>
3-katakda
52) HTML kodning bir qismi berilgan:
<table><tr><td> 62 </td><td> 31 </td><td> -62 </td><td rowspan=2> 62 </td></tr><tr><td colspan=2> 31 </td><td> 36 
</td></tr></table>
Birlashtirilgan kataklardagi sonlar yig’indisiga barcha kataklar sonining ko’paytmasini aniqlang.
62+31=93*6=558
28 uzatilayotgan xabarlami qayta ishlab, virusga tekshiradi, anonim xat - spamlami muoma- ladan chiqaradi.
• Hozirgi paytda  MTA  vazifalarini amalga oshiruvchi  Postfix, smail, gmail, exim  va boshqa dasturlar ham mavjud.
• DNS -Intemet server.
• E - mail   address   turlari :   gmail . com ,   yandex . ru ,   mail . m ,   inbox . uz ,   umail . uz .   Ushbu   web - saytlaming   qaysi   biri   bilan
ishlashning   farqi   yo ‘ q ,  foydalanuv chining   o ‘ ziga   havola   etiladi .
• Elektron pochta.   Foydalanuvchining elektron manzilining umumiy tuzil- masi quyidagicha: pochta nomi@sayt nomi.
domen ( info@umail.uz )
Kompyuter viruslarini aniqlash va yo‘qotish, ulardan himoyalanish uchun yaratilgan maxsus dasturlar antiviruslar 
  deb 
ataladi.
Antiviruslar  quyidagi turlarga bo‘linadi:
detektor  - dasturlar;  doktor  - dasturlar;  revizor  - dasturlar;  filtr  - dasturlar.
Detektor  - dasturlar oldindan ma’lum bo‘lgan  vims  belgilarini tahlil qilish orqali borligi aniqlangandan so‘ng, ushbu
vims  mavjudligi haqida ma’lumot chiqaradi.
Doktor   - dasturlar  viruslami  topibgina qolmay, undan kompyuter dasturlarini xalos qiladi, ya’ni davolaydi. Ushbu 
dasturlar ichida keng tarqalganlari  polifagi  deb ataluvchi bir yo‘la ko‘p turli  viruslami  topishga va yo‘qotishga 
mo‘ljallangan  doktor-dasturlami  alohida ta’kidlashimiz mumkin. Ulaming ichida eng mashhurlari  Kaspersky Antivims, 
Norton Antivirus, ESET ENDPOINT Antivims  va  Doktor Web  lar hisoblanadi.
________________________________________________________________________
1.Fotoshop dasturida F12 klavishini vazifasi   (vastanavit)
2. Fotoshopda rasm xajmini qanday o`zgartiradi?  ( Alt+Ctrl+I)
3. Wordda sahifani tekislash uchun qaysi klaviatura ishlatiladi ( Ctr+J)
4. Wordda ikkita sonning orta arifmetigini topish formulasi soralgan ( Average)
5. Html да cite теги матнни оғма шаклга ўтказадими ёки китоб ситаталарида бошқа манбага мурожаат қиладими?  (J
Ogʻma shaklga oʻtkazadi)
6. SMM kamchiliklarini sanab o`ting (vaqtni 
7. Wordda структура нима  (rejim o’zgartirish) xujjatning tuzilishini ko’rsatadi
8. W ordni  ишга туширганда кандай холатда булади 
9. Ogʻma shaklga oʻtkazadi  (Ctrl+I)
10.   175.45.575.13  сонларни  32  битликда   хисобланг
11. Ha bu        ~           qaysi belgi
12. Web brauzer birinchi marta qachon va kim tomonidan ishlab chiqilgan?
    1990-yil CERN xodimi Tim Bernes Li tomonidan   
13.  Domain (domen) nima? ( nom)
14.   www.inbox.uz, www.apport.ru, www.yahoo.com va www.google.uz yozuvlari nimani bildiradi.? ( Qidiruv. Tizimlari)
15. MS Excel 2010 tasmasining Рецензирование bo‘limi qanday vazifalami bajarishga mo‘ljallangan?   Imloladagi 
xatoliklarni tekshirish
16. Ayirishni bajaring: 101011-10101,1= 10101,1
17.   MS Excel 2010 da kataklardagi matnlar bilan ishlashga mo‘ljallangan ДЛСТР funksiyasining vazifasi?  Katakdagi belgilar 
sonini sanaydi
18.   16(8) likda kvadrat maydonga bug'doy ekilgan. 10(10) va 10(8) maydonga bug'doy yetmabdi. shuni toping deb 
javoblarni turli s.s. bergan  (116) qaysi sanoq sistemasida so’ragan bo’lsa shunga o’tkazish k-k
19.   Сетьни адресени топиш керегиди шунака савол  
20. Worddda структура нима,  (rejim o’zgartirish) xujjatning tuzilishini ko’rsatadi
21. Mooc afzalliklari
22.   !Word нинг стандарт функциялари, масалан:  Word нинг стандарт функциялари, масалан:
-  ABS ( x ) –  соннинг модулини ҳисоблаш.
-  AND (  x ; y ) –  x  ва  y  мантиқий ифодалар рост бўлса 1 (рост), ифодаларнинг бирортаси ё лғон бўлса 0 (ёлғон) қиймат 
қабул қилади;
-  AVERAGE ()  – белгиланган катакчалар гуруҳидаги сонларнинг ўрта арифметигини ҳисоблайди;
-  COUNT ( )  – Қавс ичида берилган шартни қаноатлантирувчи элементлар сонини ҳисоблайди;
-  IF ( x ; y ; z )  – х шарт рост бўлса  y  қийматни акс ҳолда  z  қийматни қабул қилади;
-  NOT ( x )  – х мулоҳаза рост бўлганда 0 (ёлғон), акс ҳолда 1 (рост) қиймат қабул қилади;
15 Brandmauer - ikki va undan ortiq qismlarga ajratilgan tarmoqdagi qismlar orasida axborotlar paketini o’tish qoidalari 
yaratilgan  majmuaviy tizimdir.
 
Kriptografiya-  boshlang’ich matnni yashirish,yani shifrlash orqali maxfiy ko’rinishga keltirish usul bi.n shug’ula
Kriptologiya - (Kriptos-yashirin, logos-fan) malumotni himoya qilishni asrlar davomida yig’ilgan manbalari va usullariga 
xos qonuniyatlarni o’rganadi.
Kriptografiyaning asosiy tushunchasi -algoritim va kalit
Simmetrik yopiq kalitlar usuli - kalitning faqat uzatuvchi va qabul qiluvchiga malum bo’lishidir.
Elektron raqamli imzo(ERI)-  yopiq kalitning egasini identifikatsiya qilish imkoniyatini beradigan imzodir.
Eletron imzo RSA algaritmida yaratilgan
Asimmetrik kalit  usulida malumot jo’natuvchi ochiq kalit bilan axborotni shifrlaydi,qabul qiluvchi esa yopiq kalit 
yordamida faylni deshifrlaydi(yashirin malumotni ochadi)
Elektron hukumat - davlat organlarining jismoniy va yuridik shaxslariga axborot-komunikatsiyalarini qo’llash yo’li bilan 
davlat xizmatlari ko’rsatishga doir faoliyatini hamda idoralararo electron hamkorlik qilishni ta’minlashga qaratilgan 
tashkiliy-huquqiy chora-tadbirlar va texnik vositalar tizimidir.1990-yil
Elektron hukumat 4 ta yo’nalishda faoliyat olib boradi:  1.G2G(Government to Government) –davlat- davtga 
2.G2C(Government to Citizens) davlat fuqarolarga.3.G2B(Government to Business) davlat tadbirkorlarga 4. 
G2F(Government to Foreingners) davlat horijliklarga.
Rastrlar zichligi  deganda uzunlik birligiga mos keladigan piksellar soni tushuniladi va  dpi (dots per inch-bir dyumdagi 
nuqtalar) da o’lchanadi.
Googleni yaratgan :Serge Brin va LarriPeyj 4.9.1998 Kaliforniya shtati Menlo-Parkdagi garajda ro’yxatdan o’ti
Marshrutlash -kerakli manzilga axborot blokini uzatish yo’lini aniqlash jarayonidir
8 7&15=0111
2
111
2  soni 2-likda turibdi shuni 10-likka o`tkazamiz  natija 7 bo`ladi
Javob :  7 
Endi Mantiqiy ko`paytirishda ikki ta son ham manfiy bo`lsa  qanday ishlanishini ko`rib chiqamiz
1. print(-15  & -25)
bu misolda  birinchi bo`lib manfiy sonlarni modulini topib olamiz.
|-15 |= 15
             |-25 |= 25        (1)
Shundan so`ng 15 va 25 sonlaridan kata va 2 ni darajasi ko`rinishida yozish mumkin bo`lgan eng kichik son 
topiladi
 15<25<2^5= 32       (2)
32 soni ikkita sondan ham kata va 2 ni darajasi ko`rinishida yozish mumkin bo`lgan eng kichik son 
 Endi 32 dan manfiy sonlar modulini ayiramiz
32-|-25 |=7                  
32-|-15 |=17                                                                (3)
Endi 7 va 17 sonlarni 2-lik sanoq sistemasiga o`tkazib, mantiqiy ko`paytiramiz
7       =00111
2
17     =10001
2
7&15=00001
2                                          (4)
1
2  soni 2-likda turibdi shuni 10-likka o`tkazamiz  natija 1 bo`ladi.
Endi chiqgan natijadan 32 ni ayiramiz.
1-32=-31     (5)
Javob :  -31
Bizda bepul RGA Shirin shahri 1-maktab Yodlayvering shulardan ham tushadi baribir yangilari bo’lsa qo’shinglar 
iltimos!!!
1. MS Excel. A1=4, B1=5, C1=6 uchlik qiymatlari va A1=100, B1=500, C1=1000 uchlik qiymatlari uchun natijasi 
o‘zgarmaydigan formlani aniqlang.
= ЕСЛИ (C1-A1>B1-A1; 5; 7)
2,   Qanday axborotga ilmiy axborot deyiladi?
Tabiat, jamiyat va fikrlashning ob’yektiv qonuniyatlarini ifodalovchi mantiqiy axborot
3. MS Excel. A1= 4 va B1= 5 bo‘lsin. A1:B1 blok belgilandi va 1-satr bo‘ylab chapdan o‘ngga    BA1 katakkacha 
avtoto‘ldirish marker yordamida nusxalandi, ya’ni blokning o‘ng quyi burchagida joylashgan qora kvadrat belgisini 
sichqoncha yordamida ushlab 1-satr bo‘ylab chapdan o‘ngga siljitildi. AB1 katak qiymatini aniqlang. Foydali ma’lumot - 
alifbo: ABCDEFGHIJKLMNOPQRSTUVWXYZ
31
4.Ali, Vali va Soli imtihonda 3 xil ball olishdi: 3 yoki 4 yoki 5. Quyidagi mulohazalarning faqat bittasi rostligi ma’lum: 
“Ali 3 ball olgan”, “Vali 5 ball olgan”, “Soli 4 ball olmagan”. Agar Soli 3 ball olmagani ma’lum bo‘lsa, u holda 
o‘quvchilar olgan ballarni aniqlang.
Ali – 4 ball, Vali – 3 ball, Soli – 5 ball
5. Ali, Vali va Soli imtihonda 3 xil ball olishdi: 3 yoki 4 yoki 5. Quyidagi mulohazalarning faqat bittasi rostligi ma’lum: 
“Ali 5 ball olmagan”, “Vali 4 ball olmagan”, “Soli 4 ball olgan”. O‘quvchilar olgan ballarni aniqlang.
Ali – 3 ball, Vali – 4 ball, Soli – 5 ball
22 57
117) Stels – algoritmida yaratilgan viruslar  o’zlarini qanday himoya qiladi.
Ko’rinmas holatda ishlab, qachonki fayllarni ishlatgan yoki ochilganda u ma’lumotlarni o’zgartirib antiviruslarni 
chalg’itish bilan o’zini himoya qila oladi.
118) SMM ning salbiy tomonlari
-ko’p vaqt sarflanishi
-ko’p mehnat talab etilishi
-Foydalanuvchi bilan doimo aloqada bo’lishi va ularning qiziqishlarini ushlab turish
-Mojoroli yoki salbiy vaziyat yuzaga kelsa obro’siga putur yetadi
-Norasmiy ochiq muloqot
119) Excelda listni qayta nomlash 
List nomini ustida sichqonchaning o’ng tugmasi bosiladi va pereminovat
120) Excelda katakka kiritilgan sonni ishorasini aniqlovchi formulani ko’rsating.
=ЕСЛИ(A1<0;"MANFIY";"MUSBAT") yoki =ЕСЛИ(A1>0;"Musbat";"Manfiy")
  121) Doimiy xotira qurilmasi?
BIOS
122) Fraktal grafikada qaysi dasturlar ishlaydi?
AutoCad, MathCad.
123) CMS platformalari necha guruhga bo’linadi va ular qaysilar?
2 ta ochiq va yopiq kodli
124) Power Pointda yangi slayd qo’shish uchun klaviaturada qaysi tugma bosiladi.
CTRL+M
125) Ali Vali va Soli imtihonda 3 xil bal olishdi. Quydagi mulohazalardan faqat bittasi yolg’on bo’lsa: Ali 3 ball olgan, 
Vali 4 ball olgan, Soli 5 ball olgan. Agar Ali 4 ball olmagani ma’lum bo’lsa o’quvchilar qanday baho olishgan.
Ali – 3 ball olgan, Vali – 5 ball olgan, Soli – 4 ball olgan
126) A1 yacheykada A m/s B1 yacheykada B km/soat qiymatlar kiritilmaganda quyidagi natijalar chiqadigan formulani 
ko’rsating.
A= “Quyonning tezligi katta”    B= “Baliqning tezligi katta”   “Teng”
= Если (B1*1000/3600 >A1; “Baliqning tezligi katta”; “Quyonning tezligi katta”)  
127) A1=2   B1=3 ikkalasini birlashtirib pastki qora nuqtasidan AA1 gacha tortildi. AA1 dagi qiymatni toping.
28
128) A1=1;   A2= Факт (A1);  B1=2;  B2=  Факт (B1).   A1 dan B2 gacha belgilab pastki qora nuqtasidan J2 gacha tortildi J2
dagi son qiymatini toping. 
3628800
129)  Shablon (template) – bu?
Turli xil tipdagi o’zgaruvchilar yoki parametrlar o’zgaruvchilar bilan ishlashda qo’llaniladi. Mazmuni matn, rasm, 
multimedia, Sayt tizimi mexanizmini tanlovi
34  150) not(x>44) and not(x – bir xil son emas) rost bo’ladigan eng kichik sonni toping.
44
151) Ali 3-chorakda quydagi baholarni 101
2 , 11
2 , 100
2,  101
2 , 11
2 , 100
2 , 101
2 , 11
2 , 100
2  shu baholarni oldi. O’qituvchi Aliga 
baholarini o’rtachasini 3 lik sanoq sistemasida baholadi.
11  
152) 75,50,25 sonlari berilgan  = Сумм (A1:C1)/C1/2    =(75+50+25)/25/2=150/25/2=3
3
153) d=lambda p:p*3
         t=lambda p:p*5
         x=2
        x=d(x)
        x=t(x)
        x=d(x)
        print(x)    dastur natijasini toping.
54
154) Videoni rasm qilib oladigan dastur nomi?
Bandicam
HTMLda teglar va parametr(artibut)lar
Teg( Parametr ) nomi Vazifasi
37 10 i=5
if i%2==0:
print(bool(12))
else:
print(bool(0))
False
138) Ali 16 lik sanoq sistemasida 5 dan boshlab ketma-ket probellarsiz 21 ta belgi yozib chiqdi. Ali yozgan oxirgi sonni 
toping.
14
139) Vali 2 lik sanoq sistemasida 111 dan boshlab ketma-ket 55 ta raqam yozdi. Vali yozgan oxirgi sonni toping.
10011
140) Dastur natijasini aniqlang.
x=85
while(x<100):
x+=4
print(x)
101
141) Ali 8 lik sanoq sistemasida 1 dan boshlab ketma-ket 41 ta raqam yozdi. Ali oxirgi yozgan sonni toping. 
30
142) Piksellar zichligi …. da o’lchanadi.
DPI
143) RSA - ?
Assimetrik kalitlar asosidagi shifrlash usuli.
 144) O’chirilgan ma’lumotlarni tiklash jarayoni to’g’ri berilgan javobni belgilang.
Ishchi stoldagi savatchaga kirib kerakli ma’lumotni tanlab sichqoncha o’ng tugmasini bosib vastonovit tanlanadi.
145) Kompyuter resurslari va qurilmalarini boshqaruvchi dasturlar.
Operatsion sistema.
146) Kompyuter ekranidagi fayl yoki papkani nomini o’zgartirish uchun qaysi klaviatura bosiladi.
F2
147) Ali aytdi 2 lik sanoq sistemasida ketma-ket kelgan 3 ta sonning o’rta arifmetigi natural son. Vali aytdi 3 lik sanoq 
sistemasida ketma-ket kelgan 4 ta sonning o’rta arifmetigi natural son. Ularning fikrlari.
Alini fikri to’g’ri
148) Shox vaziriga “nok olma anor” keltir dedi zukko vazir bitta meva keltirdi. Bu qaysi meva?
Anor
149) MS Excel. A1:A6 va B2:B6 bloklardagi 5 xonali sonlardan eng kichigining chapdan 2-raqamini aniqlaydigan 
formulani ko‘rsating.
ПСТР ( МИН (A1:A6; B2:B6); 2;1)
36 1) 32 kilobit/sek 5 minut kbaytni so’ragan.x=	32	∗1024	∗5∗60	
1024	∗8	=1200
2) N(2) son berilgan. 127
10   nechini ayirganda javoblarni faqat 1 sondan iborat bo’ladi.
127
10  = 1111111
2    
1111111
2 -1000000
2 = 111111
2
3) Jumlani to’ldiring   ______________ videoroliklar ulashish uchun tarmoq.
YOUTUBE
4) Paralelogram yuzini topuvchi formulani aniqlang.
S=a*b      =ABS(A1*B1)
5) MOOC ning afzalligi.
Bepul onlayn  ta’lim Zamonaviy mutaxassisliklar. Dunyoning eng yaxshi  o’qituvchilari materiallarini tizimli taqdim etish. 
Onlayn ta’limning aralash shakli. Erkin dars jadvali. Interfaollik, Foydali aloqalar, Tezkor teskari a’loqa va baholash.
6) MOOC ning kamchiliklari.
O’quv materiallari mustaqil va yakka tartibda o’rganish, topshiriqlarni bajarishni to’liq nazorat qilib bo’lmaydi. (Tizimni 
aldash mumkin)
7) MOOC – bu
Onlayn ta’lim bozorini rivojlantirish pedagogic va biznes vazifalarni hal etishga qaratilgan zamonaviy masofaviy ta’lim.
8) Photoshopda tasvir o’lchamini uzaytirish qaysi menyuda.
Navigator (CTRL++, CTRL--)
9) Elektron hukumat 4 ta yo’nalishda 
G2G – davlat – davlatga 
G2C – davlat – fuqaroga
G2B – davlat – tadbirkorlarga
G2F – davlat – xorijliklarga 
10) 1=1! ,  2=2! , ….. 720 soni nechaga teng.
6!=1*2*3*4*5*6=720      Javob: 6!
11) SMM mutaxassisi- bu
Internet tarmog’ida ijtimoiy media markeningni yurituvchi shaxs.
12) LMS- bu
(LEARNING MANAGEMENT SYSTEM) ta’limni boshqaruv tizimlari
13) Photoshopda CTRL+SHIFT+W vazifasi
Shablonni yashirish
14) print(2 or 3) = 
2
15) print(5 and 4)=
25 CTRL+J
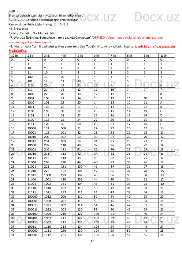
Shunga o'shash tugmalarni vazifalari bilan juftlash kere
45.    8, 2, 10, 16 sanoq sistemasidagi sonlar berilgan
Kamayish tartibida joylashtiring   16, 10, 8, 2
46.   Brouzerda 
1)ctr+j  ,2) ctrl+d, 3) ctrl+p 4) ctrl+l
47.   Wordda  Дефинед   функцияси    нима   вазифа   бажаради ` ( DEFINED () Argument qavslar ichida aniqlangan yoki 
aniqlanmaganligini hisoblaydi.)
48.   Macromedia flesh 8 dasturining jihoz panelining Line Tool(N) jihozining vazifasini toping    Javob     To‘g‘ri chiziq chizishda    
foydalaniladi
10 lik 2 lik 3 lik 4 lik 5 lik 6 lik 7 lik 8 lik 9 lik 16 lik
0 0 0 0 0 0 0 0 0 0
1 1 1 1 1 1 1 1 1 1
2 10 2 2 2 2 2 2 2 2
3 11 10 3 3 3 3 3 3 3
4 100 11 10 4 4 4 4 4 4
5 101 12 11 10 5 5 5 5 5
6 110 20 12 11 10 6 6 6 6
7 111 21 13 12 11 10 7 7 7
8 1000 22 20 13 12 11 10 8 8
9 1001 100 21 14 13 12 11 10 9
10 1010 101 22 20 14 13 12 11 A
11 1011 102 23 21 15 14 13 12 B
12 1100 110 30 22 20 15 14 13 C
13 1101 111 31 23 21 16 15 14 D
14 1110 112 32 24 22 20 16 15 E
15 1111 120 33 30 23 21 17 16 F
16 10000 121 100 31 24 22 20 17 10
17 10001 122 101 32 25 23 21 18 11
18 10010 200 102 33 30 24 22 20 12
19 10011 201 103 34 31 25 23 21 13
20 10100 202 110 40 32 26 24 22 14
21 10101 210 111 41 33 30 25 23 15
22 10110 211 112 42 34 31 26 24 16
23 10111 212 113 43 35 32 27 25 17
24 11000 220 120 44 40 33 30 26 18
25 11001 221 121 100 41 34 31 27 19
26 11010 222 122 101 42 35 32 28 1A
27 11011 1000 123 102 43 36 33 30 1B
28 11100 1001 130 103 44 40 34 31 1C
29 11101 1002 131 104 45 41 35 32 1D
30 11110 1010 132 110 50 42 36 33 1E
31 11111 1011 133 111 51 43 37 34 1F
32 100000 1012 200 112 52 44 40 35 20
33 100001 1020 201 113 53 45 41 36 21
34 100010 1021 202 114 54 46 42 37 22
35 100011 1022 203 120 55 50 43 38 23
36 100100 1100 210 121 100 51 44 40 24
37 100101 1101 211 122 101 52 45 41 25
38 100110 1102 212 123 102 53 46 42 26
39 10011 1110 213 124 103 54 47 43 27
40 101000 1111 220 130 104 55 50 44 28
41 101001 1112 221 131 105 56 51 45 29
17 masofaviy ta'lim shakli.
LMS ning afzalliklari:
- Foydalanishning erkinligi.
- O‘qish xarajatlarini kamaytirish. 
- Moslashuvchanligi. 
- Zamon bilan hamnafasligi.
- Ta'lim olishning tengligi.
- Bilimlarni baholashning obyektiv mezonini belgilash imkoniyati.
- Tajriba almashish.
- Statistika.
LMS ning kamchiliklari:
- O‘qituvchi va o‘quvchilar o‘rtasida bevosita aloqaning mavjud emasligi o‘quv jarayonini nazorat qilish
va o‘quvchi natijalarini baholashni qiyinlashtiradi.
- LMS ni joriy etish zamonaviy texnologik qurilmalarni talab etadi.
- O‘qituvchilar yuqori AKT kompetentlikka hamda o‘z o‘quv dasturlarini elektron ta'limga moslashtirish
qobiliyatiga ega bo‘lishlari lozim.
- O‘qituvchi individual pedagogik mahoratini to‘liq namoyish qila olmaydi.
MOOC   -   Massive   open   online   courses   -   ommaviy   ochiq   onlayn   kurslar.   Onlayn   ta’lim   bozorini   rivojlantirish
pedagogik va biznes vazifalarni hal etishga qaratilgan zamonaviy masofaviy ta’lim.
MOOC ning afzalliklari:
- Bepul onlayn  ta’lim.
- Zamonaviy mutaxassisliklar. 
- Dunyoning eng yaxshi  o‘qituvchilari.
- Materiallarini tizimli taqdim etish. 
- Onlayn ta’limning aralash shakli. 
- Erkin dars jadvali. 
- Interfaollik.
- Foydali aloqalar.
- Tezkor teskari aloqa va baholash.
MOOC ning kamchiliklari:
- O‘quv materiallari mustaqil va yakka tartibda o‘rganish.
- Topshiriqlarni bajarishni to‘liq nazorat qilib bo‘lmaydi. 
Axborot xavfsizligi va axborotlar ga  doir savollar.
1. Kiriptografiya - bu?
(Kripos   -   yashirin,   logos   -   fan)   ma’lumotni   himoya   qilishni   asrlar   davomida   yig‘ilgan   manbalari   va   usullariga   xos
qonuniyatlarni o‘rganadi.
39 6.Ali, Vali va Soli imtihonda 3 xil ball olishdi: 3 yoki 4 yoki 5. Quyidagi mulohazalarning faqat bittasi yolg‘onligi ma’lum:
“Ali 5 ball olmagan”, “Vali 4 ball olmagan”, “Soli 4 ball olgan”. Agar Ali 4 ball olmagani ma’lum bo‘lsa, u holda 
o‘quvchilar olgan ballarni aniqlang.
Ali – 5 ball, Vali – 3 ball, Soli – 4 ball
7. Vali 8 lik sanoq sistemasidagi sonlarni 7 dan boshlab ketma-ket bo‘sh joy qoldirmay yoza boshladi. Vali yozgan 
raqamlar soni 27 ta bo‘lsa, Vali yozgan oxirgi raqamni aniqlang.
4
8. MS Excel. A1 katakdagi matnda kamida 2 ta “a” harfi bor. Shu matnda ikkinchi marta uchragan “a” harfini matndagi 
o‘rnini aniqlovchi formulani ko‘rsating.
= НАЙТИ ("a";A1;  НАЙТИ ("a";A1;1)+1)
9. Axborot texnologiyasi    – bu …
axborotlarni olish, ishlov berish, taqdim etish usul va vositalari mosligi bo‘lib, foydalanuvchi talablaridan kelib chiqqan 
holda uning holatini, xossalarini, shaklini va mazmunini o‘zgartirishga qaratilgan
10. SMM mutaxassisi – bu:  
internet tarmog‘ida ijtimoiy media marketingni yurituvchi shaxs.
11. Soli 2 lik sanoq sistemasidagi sonlarni 2 dan boshlab ketma-ket bo‘sh joy qoldirmay yoza boshladi. Soli yozgan 
raqamlar soni 58 ta bo‘lsa, Soli nechta son yozganini aniqlang.
16
12. Amallar juftligiga mos amallarning boshqa nomlarini aniqlang: mantiqiy ko‘paytirish va mantiqiy inkor
konyunksiya va inversiya
13. Bilim deyilganda nimani tushunasiz?
Inson nazariy va amaliy faoliyatining natijasi bo‘lib, malakani jamlshni ifodalovchi axborot
14. Jumlani to‘ldiring: ________________ -    foto va videolarni ulashish uchun mo‘ljallangan tarmoq.
Instagram
15. Natijasi   3;1;-1;-3;   ko‘rinishida bo‘ladigan dastur kodini aniqlang:
for num in range(3,-5,-2):         print(num, end=';'
16. Jumlani to‘ldiring: ________________ -    o‘quv materiallarini turli usllarda uzatish (15 turdagi interfaol vosita), 
bilimlarni tekshirish va o‘zlashtirish monitoringini yuritish uchun mo‘ljallangan platforma.
Moodle
17. « Демонстрация   PowerPoint (*.pps)» formatidagi fayllar taxrirlash uchun qanday ochiladi?
Power Point ilovasining « Файл  –  Открыть » buyrug‘i orqali
18. Ijtimoiy tarmoqlar berilgan qatorni toping.
Youtube, Facebook, Telegram, Instagram
19. Quyidagi brend nomlarini mos ravishda 
yozing.  
Linked In, Pinterest, Youtube, Motorola, Twitter
23 -  OR ( x ; y )  -  x  ва  y  мантиқий ифодаларнинг камида биттаси рост бўлса 1 (рост), ифодаларнинг иккаласи ҳам ёлғон 
бўлса 0 (ёлғон) қиймат қабул қилади;
-  PRODUCT ( )  – рўйхатга киритилган сонларнинг кўпайтмасини ҳисоблайди; 
-  ROUND ( x ; y )  – х сонни кўрсатилган  y  хонагача яхлитлайди;  SIGN ( x ) – соннинг ишорасини аниқлайди ва  x  > 0 шарт 
бажарилса 1,  x  < 0 шарт бажарилса -1 қиймат қабул қилади; 
-  SUM ( ) –  белгиланган сонлар йиғиндисини ҳисоблайди;
-  INT ( x ) –  x  сонининг бутун қисмини ҳисоблайди;
-  MIN ( )  – рўйхатдаги сонларнинг энг кичигини аниқлайди;
-  MAX ( ) -  рўйхатдаги сонларнинг энг каттасини аниқлайди;
-  MOD ( x ; y )  – х ни  y  га бўлгандаги қолдиқни ҳисоблайди;
23.   Word 2007 da ribbon tasmasi bormi  bor
24.   Win+ctr+D nima    (Barcha oynani yopadi)
25.   Pythonda fin funksiyasi nima?   Fin-  Ада   тилидаги   циклнинг   якунига   етганлиги   ёки   янги   цикл   очилишини  
ифодаловчи   оператор
26.   ¿ кандай клавишлар ёрдамида чикарилади деган савол бор   Javob ALT+0191
27.   Keyin pythonda aliyev valini valiyev ali qilib yozadigan kod 
28.   Brauzerda ctrl+J  Ctrl+D Ctrl+P Ctrl+L  tugmalari (yuklanmalar, vkladka qo’shandi, pecha, manzilni taxrirlaydi)
29.   Fotoshobda rasm olchamini ozgartirish  Alt+Ctrl+I
30.   Wordagi retsentzirovaniye bolimida poisk bormi yoqmi  bor
31. &, ^,~, |  qanday amallar? 
A) bitli amal
B) mantiqiy
C) taqqoslash
32. SMM mutaxasisi nima deyiladi 
33. Pytonda Kegl nima? 
34.   Worddan skrin qilish vazifasi ( Vistavka ilustratsiya snimok)
35/ Worda Perinovat 2010 da qayta joylashgan nima vazifa bajaradi
36. O` bilan Tutuv belgisi qaysi klavishda qilinadi. ( Alt+0145)
37. 16(8) likda kvadrat maydonga bug'doy ekilgan. 10(10) va 10(8) maydonga bug'doy yetmabdi. shuni toping deb 
javoblarni turli s.s. bergan  116
38/   Али айтди иккиликда санади
Ликопчада олма анор олма
Назария 10 тача
Бугун тушганлари
40.  Pythonda   fin   funksiyasi   nima ?  Fin - Ада тилидаги циклнинг якунига етганлиги ёки янги цикл очилишини 
ифодаловчи оператор
41.   MS Excel elektron jadvalida B2:C5 ifoda nechta katakni belgilayd ( 8)
42.   Paskalda blok sxema bergan
ax²+bx+c=0 tenglama natijasi
 -5 chiqishi uchun a,b,c ning qiymati nechchiga teng
43.   title , follov sòzlari berilgan tarifiga mosloshtirish 
44.   Win+Alt+D  yangi rabotchi stol oynasini ochadi
Win+S
Win+X
O'ng tarafdagi vazifalarni mosini qo'yib juftlash kere
Web sahifada 
CTRL+T 
16 СРЗНАЧ (son1; son2;
…) son1,   son2,   …   larning   o‘rta   arifmetik
qiymatini aniqlaydi СРЗНАЧ (1; 2; 6)= 3;
СРЗНАЧ (–1;–2; 6; 7; 0)= 5
СЧЁТЕСЛИ( blok ;  
shart ) Shartni   qanoatlantiruvchi   blokning   bo’sh
bo’lmagan katakchalari sonini sanaydi СЧЁТЕСЛИ( C 1: C 13;“=6”)=10; 
СЧЁТЕСЛИ( E 1: E 13;“=6”)=2
Matnli funksiyalar
ДЛСТР(matn) Matndagi belgilar sonini aniqlaydi ДЛСТР(“men”)=3, ДЛСТР(3,1415)=6
ЗАМЕНИТЬ( eski   matn ; 
qaysi   o ‘ rindan ;   nechtasi  
o ‘ rniga ;  yangi   matn ) Eski   matnni   belgilarini   ko’rsatilgan
joydan   boshlab   berilgan   sondagi
belgilarni yangisiga almashtiradi ЗАМЕНИТЬ(“Men”;3;1;“hr”)=“Mehr”;
ЗАМЕНИТЬ(“Men”;2;2;“uz”)=“Muz”;
ЗАМЕНИТЬ(B4;3;2;”tin”)= “Oltin”
ЗНАЧЕН(matn) Matn   ko’rinishidagi   sonni   songa
o‘tkazadi ЗНАЧЕН(“1024,25”)=1024,25;
ЗНАЧЕН(“-5,04”)
ЛЕВСИМВ(matn; belgi 
soni) Matnning   chap   tomonidagi   berilgan
sondagi belgilarni ajratib oladi ЛЕВСИМВ(– 45765; 1)= “–”; 
ЛЕВСИМВ(“Gulnoza”; 3)= “Gul”;
ЛЕВСИМВ(B8; 3)=”Bod”
СЦЕПИТЬ(matn1; matn2;
…) Bir nechta matnni bitta matnga o’tkazadi СЦЕПИТЬ(14; “-fevral”)=“14-fevral”;
СЦЕПИТЬ( “Bob”; “ur”)=“Bobur”
ПСТР (matn; boshlang’ich
o’rin; belgilar soni) Matndan   boshlang’ich   o’rindan   boshlab
berilgan sondagi belgilarni ajratib oladi ПСТР (“Matonat”; 4; 3)=”ona”; 
ПСТР (“Zahiriddin”; 2; 4)=”ahir”; 
ПСТР (“Sheriyat”; 3; 2)=”er”
Mantiqiy qo`shish ( | )
1. print(5 | 7)=7
yechish : berilgan sonlarni ikkilik sanoq sistemasiga o`tkazamiz,keyin mantiqiy qo`shamiz
  5   2
  4     2    2
   1      2     1
         0
5=101
2
7=1*2 2
+1*2 1
+1*2 0
=111
2
5= 1 0 1
7= 1 1 1
5 | 7= 1 1 1
111
2 =7
Ikkalasi ham musbat bo`lgan xolda shu tariqa ishlanadi 
  Agar bittasi  yoki ikkitasi manfiy bo`lganda quyidagicha ishlanadi
2. print(-7  | -5)=
  |-7 |=7   va    |-5 |=5
Endi 7 va 5 dan kata va 2 ni darajasi ko`rinishida yozish mumkin bo`lgan son topiladi
Yani  5<7<2^3=8   endi 8 dan ikkala sonni modulini ayiramiz
8-7=1    va 8-5=3  chiqqan natijani 2-lik sanoq sistemasiga o`tkazamiz
1=1
2    3=11
2      bu sonlarni mantiqiy qo`shamiz
0 1
1 1
1 1
Natija 11 chiqdi bu sonni 10- lik sanoq sistemasiga o`tkazamiz
11
2  =3
10   
3 sonidan 2 ni darajasi ko`rinishida yozish mumkin bo`lgan sonni topgandik shu sonni ayiramiz
3-8=-5
Javob -5
20 29) HTML da juft katakchalardagi sonlarni o’nlik sanoq sistemasida ifodalang.
2,4,6 … <td> 2-si</td> <td> 4-si</td> <td> 6-si</td> kataklardagi sonlarni 10 lik sanoq sistemasida ifodalaymiz.
30) Matndagi   grammatik xatoliiklar qanday chiziq bilan chiziladi?
Qizil to‘lqinli chiziq orqali
31) MS Excel. A1=4, B1=5, C1=6 uchlik qiymatlari va A1=100, B1=500, C1=1000 uchlik qiymatlari uchun  natijasi 
o‘zgarmaydigan formlani aniqlang.
=ЕСЛИ(C1-A1>B1-A1; 5; 7)
32)Ali, Vali va Soli imtihonda 3 xil ball olishdi: 3 yoki 4 yoki 5. Quyidagi mulohazalarning faqat bittasi 
rostligi ma’lum: “Ali 5 ball olmagan”, “Vali 4 ball olmagan”, “Soli 4 ball olgan”. O‘quvchilar olgan ballarni aniqlang.
Ali – 3 ball, Vali – 4 ball, Soli – 5 ball
33) Axborot xavfsizligi – bu
Foydalanish talablari asosida ma’lumotning yashirinligi, yaxlitligi va foydalanuvchanligini ta’minlashdir. 
34) SMM mutaxassisi – bu:  
internet tarmog‘ida ijtimoiy media marketingni yurituvchi shaxs.
35)  Axborotni himoyalash konsepsiyasi
Konsepsiya- axborot havfsizligi muammosiga rasmiy qabul qilingan qarashlar tizimi va uni zamonaviy 
tendensiyalarini hisobga olgan holda yechish yollari. Konsepsiyada   ifodalangan maqsadlar , masalalar va ularni 
bo’lishi mumkin bo’lgan yechish yo’llari asosida axborot xavfsizligi ta’minlashning muayyan rejalari 
shakllantiriladi.
36) HTML da jadval kodi berilgan 3-ustundagi sonlar yig’indisini toping.
3- <tr> ni ichidagi <td> lar orasida sonlar yig’indisini hisoblaymiz
37) HTML da jadvaldagi juft ustundagi rim raqamida berilgan sonlar yig’indisi nechaga teng.
2- 4- 6- ustundagi rim raqamlarini yig’indisi <tr> 2- 4 6 lari orasidagi sonlarni yig’indisini hisoblaymiz
38) Hozirgi kunda davlat rahbarlari qanday dasturlarni ishlab chiqishni xoxlaydi 
39) Saqlash, chop etish, yangi oyna ochish – klavishlari 
CTRL+S, CTRL+P, CTRL+N
40) Ali aytdi “Xalil 3 baldan past baxo oldi”. Vali ayti “Xalil 4 baldan past baho oldi ”. Soli aytdi “Xalil 5dan past baho 
oldi”. Faqat bittasi yolg’on bo’lsa  Xalil necha baho oldi.
Ali – yolg’on  u aldadi Xalil 3 baho oldi
Vali – rost gapirdi Xalil 4 dan past baho oldi dedi
Soli – rost gapirdi Xalil 5 dan past baho oldi dedi. 
Demak Javob: Xalil 3 baho olgan  
41) A1=16 B1=8  C1=3  D1=4      (A1+B1)/C1-D1=
(A1+B1)/C1-D1=(16+8)/3-4=24/3-4=8-4=4
42) Power Pointda taqdimotni boshlash tugmasi  -
F5
43)  Printer nima ?
Chop etish qurilmasi
44)  Axborotni deshifrlash 
Deshifrlash (Decryption)   — Shifrlangan axborotni shifrlanmagan (dastlabki) holatiga o'tkazish jarayoni.  
45)  x=100  , y=50  Natija  100 bo’ladigan  dastur  kodini  toping 
  print (  x or y)
27 SMM (ijtimoiy media marketing)  — marketing faoliyatining ijtimoiy mediada amalga oshirilishi. 
Telegram  — onlayn suhbatlashish va turli formatdagi fayllarni almashish tarmog‘i. 
Template (shablon ) — mazmuni (matn, rasm, multimedia va b.) sayt tizimi mexanizmi tomonidan to‘ldiriladigan, o‘ziga xos
dizayn va tuzilmaga ega HTML teglar to‘plamidan iborat sahifa.
WordPress.com  — bepul xosting. U xosting va domen uchun pul to‘lamagan holda WordPress platformasida sayt yaratish 
imkoniyatini beradi. 
WordPress.org —  WordPressning rasmiy sayti. U platformaning oxirgi versiyasini yuklab olish orqali mustaqil tanlangan 
xosting yoki kompyuter lokal serverida sayt yaratish imkoniyatini beradi
Xaker  — maxfiy axborotlarni ruxsatsiz olish va ularni virus bilan zararlash maqsadida yopiq axborot tizimlari, ma’lumotlar 
banki kabi tarmoqlar himoya tizimini buzib kiradigan kompyuter dasturchisi. 
yopiq kodli (tijorat maqsadida tarqatiladigan),  foydalanuvchi tomonidan ichki kodining o‘zgartirilishiga ruxsat 
berilmaydigan tizimlar: Shopify, 1 С - Битрикс , CS-cart, DataLife Engine, BigCommerce , Shop-Script.
Youtube  — ko‘plab interfaol foydalanuvchilarga ega videoroliklar platformasi. 
YouTube platformasi 2005-yilda PayPalning sobiq xodimlari  — Javed Karim, Chad Hurley va Steve Chen tomonidan ishlab 
chiqilgan va  2005-yilning 14-fevralida ro‘yxatdan o‘tkazilgan. 2011-yilning  14-dekabr kuni MoldytoasterMedia nikli 
foydalanuvchi tomonidan YouTubedagi eng uzun video (596 soat, 31 minut, 21 sekund) yuklangan. 
YouTube sayti Steve Chen, Chad Hurley, Jawed Karim tomonidan amalga oshirilgan loyiha bo‘lib, 2005-yil 14-fevralda 
ro‘yxatdan o‘tgan
Axborot texnologiyasi    – axborotlarni olish, ishlov berish, taqdim etish usul va vositalari mosligi bo‘lib, foydalanuvchi 
talablaridan kelib chiqqan holda uning holatini, xossalarini, shaklini va mazmunini o‘zgartirishga qaratilgan
Axborotni muhofazalash   - bu ma’lumotlarni o’g’irlash,yo’qotish,soxtalashtirish,qalbakilashtirish,ruxsatsiz foydalanish 
va ko’paytirishning oldini olishga yo’naltirilgan tadbirlar majmuasi.
Axborot xavfsizligi -foydalanish talablari asosida malumotning yashirinligi,yaxlitligi  va foydalanuvchanligini 
taminlashdir.
Axborot konsepsiyasi- axborot xavsizligi muammosiga rasmiy qabul qilgan qarashlar tizimi va uni zamonaviy 
tendensiyalarini hisobga olgan holda yechish yollari
Malumotni ochish -  tasodifan yoki xusumatli harakatlar natijasida begona shaxsga axborotning mazmuni ruxsatsiz oshkor 
etilishidir.
Identifikatsiya -  foydalanuvchini tizimga o’zini tanitish jarayoni bo’lib,unda mijozning maxsus shaxsiy kartalaridan yoki 
uning  biometrik xususiyatlaridan foydalaniladi.
Autentifikatsiya -  foydalanuvchining to’g’riligi tekshiriladi va uning asosida tizimda faoliyat olib borishi mumkinligi yoki 
mumkin emasligi belgilanadi.
Avtorizatsiya - foydalanuvchiga tizim tomonidan berilgan huquqlar majmuasidir.
Modem -  telefon stansiyalari vositasida kompyuterdagi axborotlarni uzatish va qabul qilish uchun ikkilik sanoq tizimidagi 
ma’lumotlarni elektr signalariga aylantirish va asliga qaytarish vazifasini o’taydi.
7 9. Ctrl + С, yoki Ctrl +Insert - Tanlab olingan matn qismi nuhasini xotiraga olish
10. Ctrl - V yoki Shift + Insert,yoki i Shift-Num0 - Xotirada joylashgan matn qismini chiqarib kursor turgan joyiga qo'yish
11.  Ctrl + А, yoki Ctrl +Num5 -Butun matnni tanlash
12. Ctrl + F - Butun matnda biror bir so 'z yoki jumlani izlash
13. Ctrl - Н - Butun matnda biror Ьir so’z yoki jumlani topib uning o'rniga boshqa so'z yoki jumla bilan almashtirish
14. Delete - Tanlab olingan matn qismi yoki kursordan o’ng tomonda joylashgan belgilarni o'chirish
15. F7 - Butun matnning imlo xatolarini tekshirish
16. Shift + F7 - Tanlangan so'zning sinonimlarini topish
17. F12 -Ekranda ochiq bulgan faylni qayta nomlash
18. Alt - Ctrl - I - Bosmaga tayyorlangan xujjatni sahifaga joylashishini oldindan ko'rish.
19. Ctrl - Е - Matnni (kursor turgan abzasni) markaz bo'yicha tekislash
20. Ctrl - L -Matnnni (kursor turgan abzasni) chap chegara bo'yicha tekislash
21. Ctrl - R-Matnnni (kursor turgan abzasni) o'ng chegara bo’yicha tekislash
22. Ctrl - J - Matnni (kursor turgan abzasni) ikkala chegara bo'yicha tekis!ash
23. Shift + F3 - Harflar ko'rinishini o'zgartirish (registr)
24. Ctrl - В, yoki Ctrl - Shift + В -Qalin harflar holatiga o'tish yoki undan chiqib ketish
25. Ctrl - I, yoki Ctrl + Shift + I - Kursiv (yotiq) harflar holatiga o'tish yoki undan chiqib ketish
26. Ctrl - Shift + D -lkkita chiziqli harflar holatiga o'tish yoki undan chiqib ketish
27. Ctrl - U -Chiziqli harflar holatiga o'tish yoki undan chiqib ketish
28. Ctrl - Shift + F - Нarflar shaklini (shriftini) o'zgartirish
29. Ctrl - Shift + Р -Harflar kattaligini o'zgartirish
30. Ctrl - D - "Format shrifta" ga tegishli menyu bo'limini ochish
31. Ctrl - Shift + S -Matnni stilini uzgartirish
32. Ctrl - q - Pastki harflar holatiga o'tish yoki undan chiqib ketish
33. Ctrl - Q - Ustki harflar holatiga o'tish yoki undan chiqib ketish
34. Ctrl - F6, yoki Alt + F6 -Boshqa aktiv dokument oynasiga o'tish
35. Ctrl - Shift + F6 -Hammma aktiv dokument oynalarini ko'rish
36. Shift + strelka -Guruhga olish (Ьelgilarga tegishli)
37.  Ctrl - Shift + strelka -Guruxga olish ( so’zlarga tegishli)
38. Shift + Home yoki End - Satr boshigacha yoki oxirigacha guruhga olish
39. Ctrl - Shift + Home yoki End - Dokumetni boshigacha yoki oxirigacha guruxga olish
Microsoft PowerPoint dasturida ko'p qo'llaniluvchi qaynoq tugmalar  
(https://telegra.ph/file/645cc89081cf0a4c18672.png) ⌨  
F1 – Dastur ma’lumotnomasi
CTRL + N – Yangi taqdimotni yaratish
CTRL + M – Joriy slayd ostiga yangisini qo‘shish
CTRL + C – Slayddan nusxa olish
CTRL + V – Nusxasi olingan slaydni joylashtirish
CTRL + X – Belgilangan matn, obyekt yoki slaydni kesib olish
CTRL + Z – So‘nggi harakatni bekor qilish
CTRL + S – Slaydni saqlash
ESC – Slaydlar namoyishini yakunlash
CTRL + D – Obyektning nusxasini yaratish
CTRL + G – Belgilangan obyektlarni guruhlash
CTRL + SHIFT + G – Belgilangan obyektlarni guruhdan ajratish
CTRL + SHIFT + C – Qo‘llanilgan formatni nusxalash
CTRL + SHIFT + V – So‘nggi nusxalab olingan formatni qo‘llash
CTRL + K – Giperhavola qo‘shish
CTRL + Y – So‘nggi harakatni qayta qo‘llash
CTRL + W – Hujjatni yopish
CTRL + O – Hujjatni ochish
CTRL + P – Hujjatni chop etish
TAB – Slayddagi to‘ldirish elementlari bo‘ylab o‘ngdan chapga o‘tish
CTRL + YUQORIGA STRELKA – Slaydning o‘rnini yuqoriga qarab almashtirish
CTRL + PASTGA STRELKA – Slaydning o‘rnini pastga qarab almashtirish
CTRL + SHIFT + YUQORIGA STRELKA – Slaydni dastlabki slaydga aylantirish
CTRL + SHIFT + PASTGA STRELKA – Slaydni so‘nggi slaydga aylantirish
CTRL + F – Izlash
5 - View  - bu qismda ishchi sohadagi tasvirlami ko‘rish va boshqarish mumkin.
-Colors  - bu qismda chizilgan shakllar chegarasi va sohalariga rang berish mumkin.
- Options  - bu qismda ba’zi bir tanlangan jihozlar uchun qo‘shimcha parametrlami o‘matish elementlari joy lashtirilgan.
Macromedia Flash 8 dasturida yaratilgan web-sahifalarga tayyor rasm- lami joylashtirish uchun quyidagi ketma-ketlik bajariladi:
File—>Import—>Import to stage... yoki Ctrl+R tugmalami bosish orqali rasm joy lashtirilgan joy tanlanadi va kerakli rasm 
belgilanib, Открыть tug masi bosiladi. Rasmning o‘lchamlari Properties bo‘limining W: va H: qatori- dan foydalanib 
o‘zgartiriladi.
-  Macromedia Flash 8  dasturining ishchi sohaga tovushli ma’lumotlami joylashtirishning ikki xil usuli mavjud:
1. File—>Import—>Import to Stage... ketma-ketligini tanlash orqali;
2. File—►Import—► Import Video... ketma-ketligini tanlash orqali.
-   Axborotni muhofazalash - bu ma’iumotlarni o‘g‘irlash, yo‘qotish, soxtalashtirish, qalbakilashtirsh, ruxsatsiz 
foydalanish va ko‘paytnishning oldini ollsbga yo‘naltirilgan tadbirlar   majmuasidir.
-Axborot xavfsizligi  foydalanish talablari asosida ma’lumotning yashirinligi, yaxlitligi va foydalanuvchanligini   
ta’minlashdir.
-Identifikatsiya - foydalanuvchini tlzimga o‘zini tanitish jarayoni bo ’
lib, unda mijozning maxsus shaxsiy kartalaridan yoki 
uning biometrik xususiyatlaridan foydalaniladi
-Autentifikatsiya - foydalanuvchining to‘g‘riligi tekshiriladi va uning asosida tizimda faoliyat olib borishi mumkinligi yoki 
mumkin emasligi belgilanadi
-Avtorizatsiya — foydalanuvchiga tizim tomonidan berilgan huquqlar  majmuasidir.
Axborot xavfsizligi  quyidagi bosqichlami o‘z ichiga oladi:
• himoyalash zarur bo‘lgan axborot va texnik resurslami aniqlash;
• axborotlarga tahdidlar va maxfiylikni buzish mumkin bo‘lgan tuy- nuklaming to‘la to‘plamini belgilash;
• axborot xavfsizligining zaifligi va xatarlaming darajasini baholash;
-IP адрес  - Internet tizimiga ulangan har bir kompyuter uchun belgilangan 32 bitli takrorlanmas manzil.
-Simple Mail Transfer Protocol (SMTP)  - Internet tizimida pochta uzati- lish me’yorlarini tartibga soluvchi protokol.
- User Datagram Protocol (UDP ) - qabulini tasdiqlamagan holatda ma’lu- mot paketlarini jo‘natishni tashkil qiladi.
- Transmission Control Protocol (TCP ) - virtual bog‘lanishlami hosil qi- lib, axborotlami kerakli manzilga aniq yetib borishini 
ta’minlovchi protokol.
- Telnet  - Internet tizimidagi ixtiyoriy kompyuter bilan ishlash imkonini yaratadi.
- TCP/IP  protokollari turli parametrlar bilan xarakterlanadi, ulami bilish Internet tizimidagi bog‘lanishlarda bo‘lishi mumkin 
bo‘lgan nosozliklardan himoyalash muhimdir.
Brandmauer — ikki va undan ortiq qismlarga ajratilgan tarmoqdagi qismlar orasida axborotlar paketini o‘tish 
qoidalari yaratilgan majmuaviy tizimdir.
-Kriptologiya - (Kriptos - yashirin, logos - fan) ma’lumotnim himoya qilishni asrlar davomida yig 6
ilgan manbalari va 
usullariga xos qonuniyatlarni o‘rganadi.
- Kriptografiya  boshlang‘ich matnni yashirish, ya’ni shifrlash orqali maxfiy ko‘rinishga keltirish,
(shifrogrammalar hosil qilish) usullari bilan shug‘ullanadi.
-Kriptotahlil  maxfiy ma’lumotlami ruxsat etilmagan vaziyatlarda ham ochish imkoniyatlarini, boshqacha qilib aytganda, 
deshifrogrammalar olish usullarini o‘rganadi.
-Simmetrik yopiq kalitlar  usuli-kalitning faqat uzatuvchi va qabul qiluvchichilarga ma’lum bo’lishidir.
-Asimmetrik kalitlar  usulida ma’lumot jo’natuvchi ochiq kalit bilan axborotni shifrlaydi,qabul qiluvchi esa yopiq kalit bilan 
deshiflaydi
- RSA -asimmetrik kalitlar asosida shifrlash usuli
- Elektron raqamli imzo (ERI ) –yopiq kalitning egasini identifikatsiyasi qilish imkoniyatini beradigan imzodir. 
-Elektron hukumat - davlat organlarining jismoniy va yuridik shaxslariga axborot-kommunikatsiya texnologiyalarini 
qo‘llash yo‘li bilan davlat xizmatlari ko‘rsatishga doir faoliyatini hamda idoralararo elektron hamkorlik qilishni 
ta’minlashga qaratilgan tashkiliy-huquqiy chora-tadbirlar va texnik vositalar tizimidir
-Elektron hukumat 4 ta yo‘nalishda faoliyat olib boradi .
1.G2G (Government to Government) - Davlat-davlatga. 
2.G2C (Government to Citizens) - Davlat fuqarolarga. 
3.G2B( Government to Business )-Davlat  tadbirkorlarga
4.G2F(Government to Foreigners)-Davlat xorijliklarga
-Elektron hukumat tushunchasi 1990-yillaming boshida paydo bo‘lgan
• Local Delivery Agent (LDA ) - lokal tarmoq orqali yetkazuvchi agentlik;
• Message Submission Agent (MSA ) - xabar jо‘natish agentligi;
• Mail  Transfer  Agent  (MTA)   -  pochta  serveri  elektron  xabarlar  Inter net  tizimidan  o‘tib  boruvchi  tugunlardir.  MUA
vositasida tayyorlangan xabar bir yoki bir necha MTA lardan o‘tib Internet omborxonasidagi alohida foyda- lanuvchiga tegishli
LDA   ga   tushadi.   MTA   ga   manzillami   tahlil   qilish   va   shu   asosda   xabar   marshrutini   aniqlash   vazifasi   yuklatiladi.   MTA
14

Informatika va axborot texnologiyalari fani o'qituvchilari uchun attestatsiyaga tayyorgarlik